摘要:距離2018年一建考試越來越近,為幫助大家備考,希賽網一級建造師頻道特為大家整理了2018年一建機電實務考前沖刺題(案例題2)。
2018年一建機電實務考前沖刺題(案例題2)
背景資料
某公司以PC方式總承包一大型機電工程,總包單位直接承擔全廠機電設備采購及全廠關鍵設備的安裝調試,將其他工程分包給具備相應資質的分包單位承擔。
施工過程中發生下列事件:
事件一:鋼結構制作全部露天作業,任務還未完成時雨季來臨,工期緊迫,不能停止施工。
事件二:儲油罐露天組對焊接后,經X射線檢測,發現多處焊縫存在氣孔、夾渣等超標缺陷,需返工。
事件三:設備單機無負荷試運轉時,發現一臺大型排風機制造質量不合格。
事件四:單位工程完工后,由建設單位組織進行了質量驗收評定并簽字。
【問題】
1.事件一中,雨季施工為什么易發生焊接質量問題?焊接前應采取哪些措施?
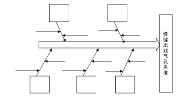
2.參考樣圖繪制油罐焊縫出現氣孔和夾渣的因果分析圖。

3.事件三中,風機質量不合格主要責任應由誰來承擔?說明理由。
4.事件四中,單位工程驗收合格的條件以及驗收記錄填寫的主要內容。
【參考答案】
1.(1)事件一中,雨期施工容易發生的質量問題:焊條易受潮,焊縫積水,銹蝕。
(2)焊接前應采取的措施:焊條烘干,焊條保溫(如保溫桶),焊件局部干燥、防雨措施(如防雨棚等),焊縫除銹或清理。
2.繪制油罐焊縫出現氣孔和夾渣的因果分析圖(如下圖所示)。

3. (1)事件三中,風機質量不合格的主要責任應由總包單位來承擔。(2)理由:設備由總包單位采購,總包單位監造,總包單位驗收。
4.(1)單位工程驗收合格的條件:①單位工程所含的分部工程的質量全部合格;②單位工程的質量控制資料齊全。
(2)單位工程質量驗收記錄的內容:①分部工程驗收記錄;②質量控制資料驗收記錄;③驗收結論。
考試題庫>在線模考_歷年真題_在線估分
2018年真題>2018年一級建造師真題及答案
考前沖刺:2018一建考前沖刺班開班了,考前突破備考,先到先學! 點此了解>>
一級建造師備考資料免費領取
去領取
專注在線職業教育25年