摘要:2020下半年教師資格證筆試時間是2020年10月31日,以下是希賽網教師資格頻道整理的2018上半年教師資格證初中數學真題及答案,希望對大家備考有所幫助。內容詳情如下:
以下是希賽網教師資格頻道為廣大考生整理的2018上半年教師資格證初中數學真題及答案,只有通過多做真題才能更好的把握考試出題的規律,才能找到做題的感覺,到了真正上考場的時候才不會慌 。看看這些真題大家會不會做呢!
單項選擇題
1、……下列命題不正確的是 (5分)
正確答案:D.有理數集是有界集
2、……設a,b為非零向量,下列命題正確的是 (5分)
正確答案:A.
垂直于 
3、……設f(x)為...,則下列命題不正確的是 (5分)
正確答案:D. f(x)在[a,b] 上可導
4、……若矩陣...則線性方程組...解的個數 (5分)
正確答案:B.1
5、……邊長為4的正方體木塊,各面均涂成紅色...恰有兩面為紅色的概率是 (5分)
正確答案:A. 3/8
6、……在空間直角坐標系中,雙曲柱面...的交為 (5分)
正確答案:B.兩條平行直線
7、……下面不屬于“尺規作圖三大問題”的是 (5分)
正確答案:D.作一個正方形使之面積等于已知正方形面積的二倍
8、……下列函數不屬于初中數學課程內容的是 (5分)
正確答案:C.指數函數
請選擇本題的作答情況: 得分不得分
二、簡答題
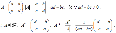
9、……若ad-bc≠0,求
逆矩陣 (7分) 正確答案:【答案】

10、……求二次曲面
過點(1,2,5)的切平面的法向量 (7分) 正確答案:【答案】

11、……設...是R到R的函數,...是函數集合...證明D是V到V上既單又滿的映射。(7分)
正確答案:答案暫無
12、……簡述選擇中學數學教學方法的依據。(7分)
正確答案:【參考答案】教學方法是為了完成教學任務,達到教學目標,所采取的教與學的方式和手段,它包括教師教的方法和學生學的方法,是教師引導學生掌握知識技能,獲得身心發展而共同活動的方法.一方面是教學客觀的需要與實現,為目的而創造方法,另一方面是主觀的選擇和創造.選擇中學數學教學方法的依據有:①符合教學規律和教學原則;②符合教學目標和任務;③符合教學內容的特點;④符合學生的發展水平;⑤符合教師的特長;⑥符合教學的經驗性. 另外選擇教學方法應考慮:=①教學內容及相應的教學目標;②各種不同層次的學生;③各種教學方法的特點.13、……簡述你對《義務教育數學課程標準(2011年版)》中“探索并證明三角形的中位線定理”這一目標的理解。(7分)
正確答案:【參考答案】三角形的中位線定理:三角形的中位線平行于三角形的第三邊,并且等于第三邊的一半. 三角形中位線定理的得出是平行四邊形判定定理和性質定理的直接應用,它在圖形證明和計算中有廣泛的應用. 首先學生對于推理證明的基本要求、基本步驟和方法已經初步掌握,對于三角形中位線定義一般也在同一小結內進行了學習,這對于學生接下來學習三角形中位線定理的證明有一定的幫助.齊次三角形中位線定理是三角形的重要性質定理.要讓學生理解這個定理的特點是:同一個題設下,有兩個結論,一個結論表明數量關系.應用這個定理時,不一定同時用到兩個結論,有時用到平行關系,有時用到倍分關系,做到根據具體情況,靈活應用.
三、解答題
14、……設f(x)是R上的可導函數,且f(x)>0. (1)求lnf(x)的導函數(4分)(2)已知... 且f(0)=1,求f(x)(6分)
正確答案:(1)

(2)

四、論述題
15、……《義務教育數學課程標準(2011年版)》在數學建議中指出應當處理好“面向全體學生與關注學生個體差異的關系”,論述數學教學中如何理解和處理這一關系。(15分)
正確答案:【參考答案】教學活動應努力使全體學生達到課程目標的基本要求,同時要關注學生的個體差異,促進每個學生在原有基礎上的發展. ①對于學習有困難的學生,教師要 A.給予及時的關注與幫助; B.鼓勵他們主動參與數學學習活動,并嘗試用自己的方式解決問題、發表自己的看法; C.要及時地肯定他們的點滴進步; D.耐心地引導他們分析產生困難或錯誤的原因,并鼓勵他們自己去改正,從而增強學習數學的興趣和信心。 ②對于學有余力并對數學有興趣的學生,教師要為他們提供足夠的材料和思維空間,指導他們閱讀,發展他們的數學才能。 ③在教學活動中,要鼓勵與提倡解決問題策略的多樣化,恰當評價學生在解決問題過程中所表現出的不同水平。 ④問題情境的設計、教學過程的展開、練習的安排等要盡可能地讓所有學生都能主動參與,提出各自解決問題的策略。 ⑤引導學生通過與他人的交流選擇合適的策略,豐富數學活動的經驗,提高思維水平。
五、案例分析題
16、……在有理數運算的課程教學片斷中,某學生的板演如下...問題:(1)請指出該生解題中的錯誤,并分析產生錯誤的原因(10分)(2)針對該生在解題中的錯誤,教師呈現如下兩個例題...請分析例題1、例題2中每一步運算的依據。(10分)
正確答案:【參考答案】(1)學生在計算過程中錯把 -1-1/5算成了 -4/5,應該是-6/5 。出現這樣的錯誤,有以下幾個原因:①學習有理數,特別是負數時,沒有完全理解正數和負數的概念,沒能將正數負數和相反數這些概念聯系起來。②學生對于符號的認識和理解不夠全面,比如負號,除了當做減號進行運算外,還可以表示負號,相當于一個數的相反數。③由學生的回答,可以看出學生對于負數的運算法則和運算律掌握不扎實,在老師詢問時出現了混淆混亂的情況。④教師本身在教學過程中也存在一些問題,在新課講解過程中,對學生的預設不足,針對于學生難以理解的知識點,沒有進行更加細致和通俗的講解。(2)例1是有理數的減法,第一步是利用有理數法法則,減去一個數等于加這個數的相反數,轉化為加法,第二步是同號有理數加法,取相同的符號,然后把絕對值相加。題中是提取出了負號,放在括號外面,把-1和 -1/5的絕對值相加。 例2是有理數的減法,不過不同的是第二個數不同。第一步利用有理數的減法法則,減去一個數等于加這個數的相反數,轉化為加法,得到 -1+1/5。而這個式子需要利用有理數的加法,不同的是這個式子為兩個異號的有理數相加,因為-1和1/5 絕對值不等,取絕對值較大數的符號,即負號,并用較大的絕對值減去較小的絕對值,即 -(1-1/5),從而得到結果。
六、教學設計題
17、……加權平均數可以刻畫數據的集中趨勢。《義務教育數學課程標準(2011年版)》要求“理解平均數的意義”...(1)設計一個教學引入片斷,體現學習加權平均數的必要性(12分)(2)說明加權平均數的“權重”的含義(6分)(3)設計一道促進學生理解加權平均數的題目,并說明具體的設計意圖 (12分)
正確答案:【參考答案】(1)利用多媒體出示一則招聘啟事:我公司招聘一名員工,平均工資2060元.李剛前去應聘,結果發現工資沒有2060元,去找老板理論,老板給李剛看工資表:

引導學生思考:①招工啟事中說月工資2060元是否欺騙了應聘者? ②這個平均工資能否客觀的反映工人的一般收入? ③若不能,你認為用什么工資反映普通工人的一般收入比較合適? (2)在計算加權平均數時,權數可以表示總體中的各種成分所占比例:權數越大的數據在總體中所占的比例越大,它對加權平均數的影響也越大.在計算加權平均數時,常用權數來反映對應的數據的重要程度:權數越大的數據越重要. (3)某單位欲從內部招聘管理員一名,對甲、乙、丙三名候選人進行了筆試和面試兩項測試,三人的測試成績如下表所示:

(1)如果根據三項測試的平均成績確定錄用人選,那么誰將被錄用? (2)根據實際需要,單位將筆試、面試、民主評議三項測試得分按4:3:3的比例確定個人的成績,那么誰將被錄用? (3)思考算術平均數與加權平均數有什么聯系和區別呢? 學生通過觀察思考后不難得出:算術平均數和加權平均數本質上是一樣的,算術平均數可以看做權重相同的加權平均數.所以,算術平均數是特殊的加權平均數. 設計意圖:因為小學階段學生已經基本掌握了算術平均數,而算術平均數的認識對于加權平均數的理解是非常有幫助的.所以,在具體的教學中,建議更多的著墨于加權平均數的理解,以及算術平均數和加權平均數的聯系和區別上,淡化了算術平均數的概念和計算.另一方面,學生對于自己總結歸納的知識感受會更深刻,更鮮活,因此讓學生通過觀察后自己總結歸納,教師在學生的基礎上予以提升和完善.
(注:圖片及試題來源于網絡,如有侵權,請聯系刪除)
教師資格備考資料免費領取
去領取
專注在線職業教育25年