摘要:下面希賽軟考學院為你整理了2016年上半年數據庫系統工程師考試真題的上午題,助你修煉出一身“絕技”,應對來年的數據庫系統工程師考試。
《五年高考三年模擬》相當于高考“武功秘籍”中的《九陰真經》。海量的題庫,對真題詳盡的解析,備受老師和學生的追捧。可見,真題是應對考試的上好資料,下面希賽軟考網為你整理了2016年上半年數據庫系統工程師考試真題的上午題,助你修煉出一身“絕技”,應對來年的數據庫系統工程師考試。
2016年上半年數據庫系統工程師考試上午試題第一部分
●VLIW是()的簡稱。
(1)A.復雜指令系統計算機
B.超大規模集成電路
C.單指令流多數據流
D.超長指令字
●主存與Cache的地址映射方式中,()方式可以實現主存任意一塊裝入Cache中任意位置,只有裝滿才需要替換。
(2)A.全相聯
B.直接映射
C.組相聯
D.串并聯
●如果“2X”的補碼是“90H”,那么X的真值是()
(3)A.72
B.-56
C.56
D.111
●移位指令中()指令的操作結果相當于對操作數進行乘2操作。
(4)A.算術左移
B.邏輯右移
C.算術右移
D.帶進位循環左移
●內存按字節編址,從A1000H到B13FFH的區域的存儲容量為()KB。
(5)A.32
B.34
C.65
D.67
●以下關于總線的敘述中,不正確的是()
(6)A.并行總線適合近距離高速數據傳輸
B.串行總線適合長距離數據傳輸
C.單總線結構在一個總線上適應不同種類的設備,設計簡單且性能很高
D.專用總線在設計上可以與連接設備實現最佳匹配
●以下關于網絡層次與主要設備對應關系的描述中,配對正確的是()
(7)A.網絡層——集線器
B.數據鏈路層——網橋
C.傳輸層——路由器
D.會話層——防火墻
●傳輸經過SSL加密的網頁所采用的協議是()。
(8)A.HTTP
B.HTTPS
C.S-HTTP
D.HTTP-S
●為了攻擊遠程主機,通常利用()技術檢測遠程主機狀態。
(9)A.病毒查殺
B.端口掃描
C.QQ聊天
D.身份認證
●某軟件公司參與開發管理系統軟件的程序員張某,辭職到另一公司任職,于是該項目負責人將該管理系統軟件上開發者的署名更改為李某(接張某工作)。該項目負責人的行為()。
(10)A.侵犯了張某開發者身份權(署名權)
B.不構成侵權,因為程序員張某不是軟件著作權人
C.只是行使管理者的權利,不構成侵權
D.不構成侵權,因為程序員張某現已不是項目組成員
●美國某公司與中國某企業談技術合作,合同約定使用1項美國專利(獲得批準并在有效期內),該項技術未在中國和其他申請專利。依照該專利生產的產品()需要向美國公司支付這件美國專利的許可使用費。
(11)A.在中國銷售,中國企業
B.如果返銷美國,中國企業不
C.在其他銷售,中國企業
D.在中國銷售,中國企業不
●以下媒體文件格式中,()是視頻文件格式。
(12)A.WAV
B.BMP
C.MP3
D.MOV
●下列軟件產品中,屬于圖像編輯處理工具的軟件是()
(13)A.Powerpoint
B.Photoshop
C.Premiere
D.Acrobat
●使用150DPI的掃描分辨率掃描一幅3x4英寸的彩色照片,得到原始的24位真彩色圖像的數據量是()Byte。
(14)A.1800
B.90000
C.270000
D.810000
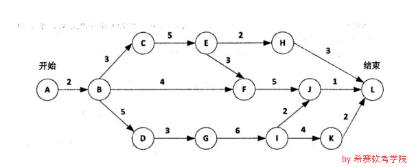
●某軟件項目的活動圖如下圖所示,其中頂點表示項目里程碑,連接頂點的邊表示包含的活動,邊上的數字表示活動的持續時間(天),則完成該項目的最少時間為()天。活動BD最多可以晚開始()天而不會影響整個項目的進度。

(15)A.15
B.21
C.22
D.24
(16)A.0
B.2
C.3
D.5
●在結構化分析中,用數據流圖描述().當采用數據流圖對一個圖書館管理系統進行分析時,()是一個外部實體。
(17)A.數據對象之間的關系,用于對數據建模
B.數據在系統中如何被傳送或變換,以及如何對數據流進行變換的功能或子功能,用于對功能建模
C.系統對外部事件如何響應,如何動作,用于對行為建模
D.數據流圖中的各個組成部分
(18)A.讀者
B.圖書
C.借書證
D.借閱
●軟件開發過程中,需求分析階段的輸出不包括()。
(19)A.數據流圖
B.實體聯系圖
C.數據字典
D.軟件體系結構圖
●以下關于高級程序設計語言實現的編譯和解釋方式的敘述中,正確的是()。
(20)A.編譯程序不參與用戶程序的運行控制,而解釋程序則參與
B.編譯程序可以用高級語言編寫,而解釋程序只能用匯編語言編寫
C.編譯方式處理源程序時不進行優化卜.面解釋方式則進行優化
D.編譯方式不生成源程序的目標程序,而解釋方式則生成
●以下關于腳本語言的敘述中,正確的是()。
(21)A.腳本語言是通用的程序設計語言
B.腳本語言更適合應用在系統級程序開發中
C.腳本語言主要采用解釋方式實現
D.腳本語言中不能定義函數和調用函數
●將高級語言源程序先轉化為一種中間代碼是現代編譯器的常見處理方式。常用的中間代碼有后綴式、()、語法樹等。
(22)A.前綴碼
B.三地址碼
C.符號表
D.補碼和移碼
●當用戶通過鍵盤或鼠標進入某應用系統時,通常最先獲得鍵盤或鼠標輸入信息的是()程序。
(23)A.命令解釋
B.中斷處理
C.用戶登錄
D.系統調用
●在Windows操作系統中,當用戶雙擊“IMG-20160122-103.jpg”文件名時,系統會自動通過建立的()來決定使用什么程序打開該圖像文件。
(24)A.文件
B.文件關聯
C.文件目錄
D.臨時文件
>>>點擊查看2016年上半年數據庫系統工程師考試上午真題答案與解析
>>>返回總目錄:2016年上半年數據庫系統工程師上午真題匯總
相關推薦:
2016年上半年數據庫系統工程師考試下午真題(標準參考答案)
軟考不知道考啥科目?掃碼測最適合你的報考科目

熱門活動:【免費考前摸底】軟考4月模考大賽![]()
軟考備考資料免費領取
去領取
專注在線職業教育25年