摘要:2016年下半年軟件設計師考試上午真題第三部分。
>>>【希賽】2016年下半年軟考分數早知道,希賽網解析真題
軟考歷年真題是考生備考的法寶,希賽軟考網整理了2016年下半年軟件設計師考試真題之上午題,供大家參考學習。以下為2016年下半年軟件設計師上午真題第三部分。
41.以下關于UML狀態圖中轉換(transition)的敘述中,不正確的是()。
A.活動可以在轉換時執行也可以在狀態內執行
B.監護條件只有在相應的事件發生時才進行檢查
C.一個轉換可以有事件觸發器、監護條件和一個狀態
D.事件觸發轉換
下圖①②③④所示是UML(42)。現有場景:一名醫生(Doctor)可以治療多位病人(Patient),一位病人可以由多名醫生治療,一名醫生可能多次治療同一位病人。要記錄哪名醫生治療哪位病人時,需要存儲治療(Treatment)的日期和時間。以下①②③④圖中(43)。是描述此場景的模型。

42:
A.用例圖
B.對象圖
C.類圖
D.協作圖
43:
A.①
B.②
C.
D.④
(44)模式定義一系列的算法,把它們一個個封裝起來,并且使它們可以相互替換,使得算法可以獨立于使用它們的客戶而變化。以下(45)情況適合選用該模式。
①一個客戶需要使用一組相關對象
②一個對象的改變需要改變其它對象
需要使用一個算法的不用變體
④許多相關的類僅僅是行為有異
44:
A.命令(Command)
B.責任鏈(Chain of Responsibility)
C.觀察者(Observer)
D.策略(Strategy)
45:
A.①②
B.②③
C.③④
D.①④
(46)模式將一個復雜對象的構建與其表示分離,使得同樣的構建過程可以創建不同的表示。以下(47)情況適合選用該模式。
①抽象復雜對象的構建步驟
②基于構建過程的具體實現構建復雜對象的不同表示
③一個類僅有一個實例
④一個類的實例只能有幾個不同狀態組合中的一種
46:
A.生成器(Builder)
B.工廠方法(Factory Method)
C.原型(Prototype)
D.單例(Singleton)
47:
A.①②
B.②③
C.③④
D.①④
48.由字符a、b構成的字符串中,若每個a后至少跟一個b,則該字符串集合可用正規式表示為()。
A.(blab)*
B(ab*)*
C.(a*b*)*
D.(alb)*
49.喬姆斯基(Chomsky)將文法分為4種類型,程序設計語言的大多數語法現象可用其中的()描述。
A.上下文有關文法
B.上下文無關文法
C.正規文法
D.短語結構文法
50.運行下面的C程序代碼段,會出現()錯誤。
int k=0;
for(;k<100 ;);
{k++;)
A.變量未定義
B.靜態語義
C.語法
D.動態語義
51.在數據庫系統中,一般由DBA使用DBMS提供的授權功能為不同用戶授權,其主要目的是為了保證數據庫的()。
A.正確性
B.安全性
C.一致性
D.完整性
給定關系模式R(U,F),萁中:u為關系模式R中的屬性集,,是u上的一組函數依賴。假設u={A1,A2,A3;A4),F={A1→A2,A1A2→A3,A1→A4,A2→A4那么關系R的主鍵應為(52)。函數依賴集F中的(53)是冗余的。
52:
A.A1
B.A1A2
C.AIA3
D.A1A2A3
53:
A.AI→A2
B.AIA2→A3
C.Al→A4
D.A2→A4
給定關系R(A,B,c,D)和關系S(A,C,E,F,),對其進行自然連接運算Rs后的屬:性列為(54)個;與αR.B>S.E;R>S)等價的關系代數表達式為(55)。
54:
A.4
B.5
C.6
D.8
55:
A.α2>7(R x S)
B.π1,2,3,4,7,8(σ1=5˄2>7˄3=6(R×S))
C.σ2>'7'(R×S)
D.π1,2,3,4,7,8(σ1=5˄2>’7’˄3=6(R×S))
56.下列查詢B=“大數據”且F=“開發平臺”,結果集屬性列為A.B.C.F的關系代數表達式中,查詢效率較高的是()。
A.π1,2,3,8(σ2='大數據'˄1=5˄3=6˄8='開發平臺'(R×S))
B.πl,2,3,8(σ1=5˄3=6˄8='開發平臺't(σ2='大數據'(R)×s))
C.π1,2,3,8(σ2='大數據'˄1=5˄3=6(R×σ4='開發平臺'(S))
D.π1,2,3,8(σ1=5^3=6(σ2='大數據'(R)×a4='開發平臺'(S)))
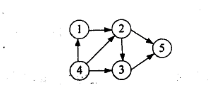
57.拓撲序列是有向無環圖中所有頂點的一個線性序列,若有向圖中存在弧<v,w>或存在從頂點v到w的路徑,則在該有向圖的任一拓撲序列中,V一定在w之前。下面有向圖的拓撲序列是()

A.41235
B.43125
C.42135
D.41=325
設有一個包含n個元素的有序線性表。在等概率情況下刪除其中的一個元素,若采用順序存儲結構,則平均需要移動(58)個元素;若采用單鏈表存儲,則平均需要移動(59)個元素。
58:
A.1
B.(n-l)/2
C.logn
D.N
59:
A.O
B.1
B.(n-l)/
D.n/2
60.具有3個節點的二叉樹有()種形態。
A.2
B.3
C.5
D.7
>>>返回目錄:2016年下半年軟件設計師考試真題(上午題)
相關推薦:
軟考不知道考啥科目?掃碼測最適合你的報考科目

通關資源:軟考各科歷年真題 | 各科學習資料匯總 | 在線試題庫【點擊刷題】
免費課程:系統架構設計師報考指南 | 2026年高項備考指導課及精講試聽
熱門活動: 新年新起點,大額滿減有驚喜![]()
軟考備考資料免費領取
去領取
專注在線職業教育25年