摘要:臨近2017上半年數據庫系統工程師考試的時間,希賽小編為大家整理了2015年數據庫系統工程師上午真題,希望對大家有所幫助。
臨近2017上半年數據庫系統工程師考試的時間,希賽小編為大家整理了2015年數據庫系統工程師上午真題,希望對大家有所幫助。
第21題
與算術表達式“(a+(b-c))*d”對應的樹是()。

第22題
程序中全局變量的存儲空間在()分配。
A.代碼區
B.靜態數據區
C.棧區
D.堆區
第23題
進程P1、P2、P3、P4和P5的前趨圖如下所示:

若用PV操作控制進程P1、P2、P3、P4和P5并發執行的過程,則需要設置5個信號量S1、S2、S3、S4和S5,且信號量S1~S5的初值都等于零。下圖中a、b和c處應分別填寫(23);d和e處應分別填寫(24),f和g處應分別填寫(25)。

A.V(S1)、P(S1)和V(S2)V(S3)
B.P(S1)、V(S1)和V(S2)V(S3)
C.V(S1)、V(S2)和P(S1)V(S3)
D.P(S1)、V(S2)和V(S1)V(S3)
第24題
A.V(S2)和P(S4)
B.P(S2)和V(S4)
C.P(S2)和P(S4)
D.V(S2)和V(S4)
第25題
A.P(S3)和V(S4)V(S5)
B.V(S3)和P(S4)和P(S5)
C.P(S3)和P(S4)P(S5)
D.V(S3)和V(S4)和V(S5)
第26題
某進程有4個頁面,頁號為0~3,頁面變換表及狀態位、訪問位和修改位的含義如下圖所示。若系統給該進程分配了3個存儲塊,當訪問的頁面1不在內存時,淘汰表中頁號為()的頁面代價最小。

A.0
B.1
C.2
D.3
第27題
某公司計劃開發一個產品,技術含量很高,與客戶相關的風險也很多,則最適于采用()開發過程模型。
A.瀑布
B.原型
C.增量
D.螺旋
第28題
數據流圖(DFD)的作用是()。
A.描述數據對象之間的關系
B.描述對數據的處理流程
C.說明將要出現的邏輯判定
D.指明系統對外部事件的反應
第29題
若關系R(H,L,M,P)的主鍵為全碼(All-key),則關系R的主鍵應()。
A.為HLMP
B.在集合{H,L,M,P}中任選一個
C.在集合{HL,HM,HP,LM,LP,MP}中任選一個
D.在集合{HLM,HLP,HMP,LMP)中任選一個
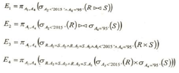
第30題
在關系R(A1,A2,A3)和S(A2,A3,A4)上進行關系運算的4個等價的表達式E1,E2,E3和E4如下所示:

如果嚴格按照表達式運算順序,則查詢效率較高的是(30)。將該查詢轉換為等價的SQL語句如下:
SELECT A1,A4 FROM R,S
WHERE(31)
A.E1
B.E2
C.E3
D.E4
第31題
A. R.A2<2015 0R S.A4=95
B. R.A2< 2015 AND S.A4=95
C. R.A2< 2015 0R S.A4=95 0R R.A2=S.A2
D. R.A2<2015 AND S.A4=95 AND R.A3=S.A3
希賽網,擁有十五年軟考培訓經驗,希賽網一直堅持自主研發,將豐富的軟考培訓經驗有效融入教程研發過程,自成體系的軟考在線題庫(軟考歷年真題)、軟考培訓教材和軟考視頻教程,多樣的培訓方式包括面授、和,使考生的學習更具系統性,輔導更具針對性。采用全程督學機制,。
軟考不知道考啥科目?掃碼測最適合你的報考科目

熱門活動:【免費考前摸底】軟考4月模考大賽![]()
軟考備考資料免費領取
去領取
專注在線職業教育25年