摘要:以下為2009年系統架構設計師考試真題綜合知識部分,更多軟考真題答案與解析,請進入希賽網在線題庫查看。
以下為2009年系統架構設計師考試真題(綜合知識)全部試題,供大家參考學習。
計算機系統中硬件層之上的軟件通常按照三層來劃分,如下圖所示,圖中①②③分別表示(1)。

A.操作系統、應用軟件和其他系統軟件
B.操作系統、其他系統軟件和應用軟件
C.其他系統軟件、操作系統和應用軟件
D.應用軟件、其他系統軟件和操作系統
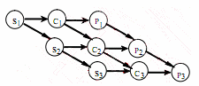
某計算機系統中有一個CPU、一臺掃描儀和一臺打印機。現有三個圖像任務,每個任務有三個程序段:掃描Si,圖像處理Ci和打印Pi(i=1,2,3)。下圖為三個任務各程序段并發執行的前驅圖,其中,(2)可并行執行,(3)的直接制約,(4)的間接制約。

(2)A.“C1S2”,“P1C2S3”,“P2C3”
B.“C1S1”,“S2C2P2”,“C3P3”
C.“S1C1P1”,“S2C2P2”,“S3C3P3”
D.“S1S2S3”,“C1C2C3”,“P1P2P3”
(3)A.S1受到S2和S3、C1受到C2和C3、P1受到P2和P3
B.S2和S3受到S1、C2和C3受到C1、P2和P3受到P1
C.C1和P1受到S1、C2和P2受到S2、C3和P3受到S3
D.C1和S1受到P1、C2和S2受到P2、C3和S3受到P3
(4)A.S1受到S2和S3、C1受到C2和C3、P1受到P2和P3
B.S2和S3受到S1、C2和C3受到C1、P2和P3受到P1
C.C1和P1受到S1、C2和P2受到S2、C3和P3受到S3
D.C1和S1受到P1、C2和S2受到P2、C3和S3受到P3
在數據庫設計的需求分析階段應完成包括(5)在內的文檔。
A.E-R圖
B.關系模式
C.數據字典和數據流圖
D.任務書和設計方案
設有職務工資關系P(職務,最低工資,較高工資),員工關系EMP(員工號,職務,工資),要求任何一名員工,其工資值必須在其職務對應的工資范圍之內,實現該需求的方法是(6)。
A.建立“EMP.職務”向“P.職務”的參照完整性約束
B.建立“P.職務”向“EMP.職務”的參照完整性約束
C.建立EMP上的觸發器程序審定該需求
D.建立P上的觸發器程序審定該需求
設關系模式R(U,F),其中R上的屬性集U={A,B,C,D,E},R上的函數依賴集F={A→B,DE→B,CB→E,E→A,B→D}。(7)為關系R的候選關鍵字。分解(8)是無損連接,并保持函數依賴的。
(7)A.AB
B.DE
C.CE
D.DB
(8)A.p={R1(AC),R2(ED),R3(B)}
B.p={R1(AC),R2(E),R3(DB)}
C.p={R1(AC),R2(ED),R3(AB)}
D.p={R1,(ABC),R2(ED),R3(ACE)}
嵌入式系統中采用中斷方式實現輸入輸出的主要原因是(9)。在中斷時,CPU斷點信息一般保存到(10)中。
(9)A.速度最快
B.CPU不參與操作
C.實現起來比較容易
D.能對突發事件做出快速響應
(10)A.通用寄存器
B.堆
C.棧
D.I/O接口
在嵌入式系統設計時,下面幾種存儲結構中對程序員是透明的是(11)。
A.高速緩存
B.磁盤存儲器
C.內存
D.flash存儲器
系統間進行異步串行通信時,數據的串/并和并/串轉換一般是通過(12)實現的。
A.I/O指令
B.專用的數據傳送指令
C.CPU中有移位功能的數據寄存器
D.接口中的移位寄存器
以下關于網絡核心層的敘述中,正確的是(13)。
A.為了保障安全性,應該對分組進行盡可能多的處理
B.在區域間高速地轉發數據分組
C.由多臺二、三層交換機組成
D.提供多條路徑來緩解通信瓶頸
網絡開發過程中,物理網絡設計階段的任務是(14)。
A.依據邏輯網絡設計的功能要求,確定設備的具體物理分布和運行環境
B.分析現有網絡和新網絡的各類資源分布,掌握網絡所處狀態
C.根據需求規范和通信規范,實施資源分配和安全規劃
D.理解網絡應該具有的功能和性能,最終設計出符合用戶需求的網絡
某公司欲構建一個網絡化的開放式數據存儲系統,要求采用專用網絡連接并管理存儲設備和存儲管理子系統。針對這種應用,采用(15)存儲方式最為合適。
A.內置式存儲
B.DAS
C.SAN
D.NAS
以下關于基準測試的敘述中,正確的是(16)。
A.運行某些診斷程序,加大負載,檢查哪個設備會發生故障
B.驗證程序模塊之間的接日是否正常起作用
C.運行一個標準程序對多種計算機系統進行檢查,以比較和評價它們的性能
D.根據程序的內部結構和內部邏輯,評價程序是否正確
以下關于計算機性能改進的敘述中,正確的是(17)。
A.如果某計算機系統的CPU利用率已經達到100%則該系統不可能再進行性能改進
B.使用虛存的計算機系統如果主存太小,則頁面交換的頻率將增加,CPU的使用效率就會降低,因此應當增加更多的內存
C.如果磁盤存取速度低,引起排隊,此時應安裝更快的CPU.以提高性能
D.多處理機的性能正比于CPU的數目,增加CPU是改進性能的主要途徑
商業智能是指利用數據挖掘、知識發現等技術分析和挖掘結構化的、面向特定領域的存儲與數據倉庫的信息。它可以幫助用戶認清發展趨勢、獲取決策支持并得出結論。
以下(18)活動,并不屬于商業智能范疇。
A.某大型企業通過對產品銷售數據進行挖掘,分析客戶購買偏好
B.某大型企業查詢數據倉庫中某種產品的總體銷售數量
C.某大型購物網站通過分析用戶的購買歷史記錄,為客戶進行商品推薦
D.某銀行通過分析大量股票交易的歷史數據,做出投資決策
電子數據交換(EDI)是電子商務活動中采用的一種重要的技術手段。以下關于EDI的敘述中,錯誤的是(19)。
A.EDI的實施需要一個公認的標準和協議,將商務活動中涉及的文件標準化和格式化
B.EDI的實施在技術上比較成熟,成本也較低
C.EDI通過計算機網絡,在貿易伙伴之間進行數據交換和自動處理
D.EDI主要應用于企業與企業、企業與批發商之間的批發業務
用戶文檔主要描述所交付系統的功能和使用方法。下列文檔中,(20)屬于用戶文檔。
A.需求說明書
B.系統設計文檔
C.安裝文檔
D.系統測試計劃
配置項是構成產品配置的主要元素,其中(21)不屬于配置項。
A.設備清單
B.項目質量報告
C.源代碼
D.測試用例
一個大型軟件系統的需求通常是會發生變化的。以下關于需求變更策略的敘述中,錯誤的是(22)。
A.所有需求變更必須遵循變更控制過程
B.對于未獲得核準的變更,不應該做變更實現工作
C.完成了對某個需求的變更之后,就可以刪除或者修改變更請求的原始文檔
D.每一個集成的需求變更必須能追溯到一個經核準的變更請求
以下關于需求管理的敘述中,正確的是(23)。
A.需求管理是一個對系統需求及其變更進行了解和控制的過程
B.為了獲得項目,開發人員可以先向客戶做出某些承諾
C.需求管理的重點在于收集和分析項目需求
D.軟件開發過程是獨立于需求管理的活動
(24)方法以原型開發思想為基礎,采用迭代增量式開發,發行版本小型化,比較適合需求變化較大或者開發前期對需求不是很清晰的項目。
A.信息工程
B.結構化
C.面向對象
D.敏捷
項目管理工具用來輔助項目經理實施軟件開發過程中的項目管理活動,它不能(25)。(26)就是一種典型的項目管理工具。
(25)A.覆蓋整個軟件生存周期
B.確定關鍵路徑、松弛時間、超前時間和滯后時間
C.生成固定格式的報表和裁剪項目報告
D.指導軟件設計人員按軟件生存周期各個階段的適用技術進行設計工作
(26)A.需求分析工具
B.成本估算工具
C.軟件評價工具
D.文檔分析工具
逆向工程導出的信懇可以分為4個抽象層次,其中(27)可以抽象出程序的抽象語法樹、符號表等信息;(28)可以抽象出反映程序段功能及程序段之間關系的信息。
(27)A.實現級
B.結構級
C.功能級
D.領域級
(28)A.實現級
B.結構級
C.功能級
D.領域級
某軟件公司欲開發一個Windows平臺上的公告板系統。在明確用戶需求后,該公司的架構師決定采用Command模式實現該系統的界面顯示部分,并設計UML類圖如下圖所示。圖中與Command模式中的“Invoker”角色相對應的類是(29),與“ConcreteCommand”角色相對應的類是(30)。

(29)A.Command
B.MenuItem
C.Open
D.ButktinBoardScreen
(30)A.Command
B.MenuItem
C.Open
D.BulktinBoardScreen
用例(use case)用來描述系統對事件做出響應時所采取的行動。用例之間是具有相關性的。在一個“訂單輸入子系統”中,創建新訂單和更新訂單都需要核查用戶帳號是否正確。用例“創建新訂單”、“更新訂單”與用例“核查客戶帳號”之間是(31)關系。
A.包含(include)
B.擴展(extend)
C.分類(classification)
D.聚集(aggregation)
面向對象的設計模型包含以(32)表示的軟件體系結構圖,以(33)表示的用例實現圖,完整精確的類圖,針對復雜對象的狀態圖和用以描述流程化處理的活動圖等。
(32)A.部署圖
B.包圖
C.協同圖
D.交互圖
(33)A.部署圖
B.包圖
C.協同圖
D.交互圖
基于構件的開發模型包括軟件的需求分析定義(34)、(35)、(36)以及測試和發布5個順序執行的階段。
(34)A.構件接口設計
B.體系結構設計
C.元數據設計
D.集成環境設計
(35)A.數據庫建模
B.業務過程建模
C.對象建模
D.構件庫建立
(36)A.應用軟件構建
B.構件配置管理
C.構件單元測試
D.構件編碼實現
企業應用集成通過采用多種集成模式構建統一標準的基礎平臺,將具有不同功能和目的且獨立運行的企業信息系統聯合起來。其中,面向(37)的集成模式強調處理不同應用系統之間的交互邏輯,與核心業務邏輯相分離,并通過不同應用系統之間的協作共同完成某項業務功能。
A.數據
B.接口
C.過程
D.界面
以下關于軟件構件及其接口的敘述,錯誤的是(38)。
A.構件是軟件系統中相對獨立且具有一定意義的構成成分
B.構件在容器中進行管理并獲取其屬性或者服務
C.構件不允許外部對所支持的接口進行動態發現或調用
D.構件可以基于對象實現,也可以不基于對象實現
在一個典型的基于MVC(Model-View-Controller)的J2EE應用中,分發客戶請求、有效組織其它構件為客戶端提供服務的控制器由(39)實現。
A.Entity Bean
B.Session Bean
C.Servlet
D.JSP
以下關于RDBMS數據分布的敘述中,錯誤的是(40)。
A.數據垂直分割是將不同表的數據存儲到不同的服務器上
B.數據水平分割是將不同行的數據存儲到不同的服務器上
C.數據復制是將數據的多個副本存儲到不同的服務器上
D.數據復制中由RDBMS維護數據的一致性
系統應用架構設計中,網絡架構數據流圖的主要作用是將處理器和設備分配到網絡中。(41)不屬于網絡架構數據流圖的內容。
A.服務器、客戶端及其物理位置
B.處理器說明信息
C.單位時間的數據流大小
D.傳輸協議
系統輸入設計中應盡可能考慮人的因素,以下關于輸入設計的一般原理中,錯誤的是(42)。
A.只讓用戶輸入變化的數據
B.使用創新的模式吸引用戶的眼球
C.表格中各個數據項應有提示信息
D.盡可能使用選擇而不是鍵盤輸入的方式獲取數據
系統測試將軟件、硬件、網絡等其它因素結合,對整個軟件進行測試。(43)不是系統測試的內容。
A.路徑測試
B.可靠性測試
C.安裝測試
D.安全測試
軟件測試是為了發現錯誤而執行程序的過程。黑盒測試法主要根據(44)來設計測試用例。
A.程序內部邏輯
B.程序外部功能
C.程序數據結構
D.程字流程圖
軟件架構貫穿于軟件的整個生命周期,但在不同階段對軟件架構的關注力度并不相同,在(45)階段,對軟件架構的關注最多。
A.需求分析與設計
B.設計與實現
C.實現與測試
D.部署與變更
軟件架構設計是降低成本、改進質量、按時和按需交付產品的關鍵活動。以下關于軟件架構重要性的敘述中,錯誤的是(46)。
A.架構設計能夠滿足系統的性能、一可維護性等品質
B.良好的架構設計能夠更好地捕獲并了解用戶需求
C.架構設計能夠使得不同的利益相關人(stakeholders)達成一致的目標
D.架構設計能夠支持項目計劃和項目管理等活動
軟件架構需求是指用戶對目標軟件系統在功能、行為、性能、設計約束等方面的期望。以下活動中,不屬于軟件架構需求過程范疇的是(47)。
A.設計構件
B.需求獲取
C.標識構件
D.架構需求評審
基于架構的軟件設計(ABSD)強調由商業、質量和功能需求的組合驅動軟件架構設計。以下關于ABSD的敘述中,錯誤的是(48)。
A.使用ABSD方法,設計活動可以從項目總體功能框架明確就開始
B.ABSD方法是一個自頂向下,遞歸細化的過程
C.ABSD方法有三個基礎:功能分解、選擇架構風格實現質量和商業需求以及軟件模板的使用
D.使用ABSD方法,設計活動的開始意味著需求抽取和分析活動可以終止
軟件架構文檔是對軟件架構的正式描述,能夠幫助與系統有關的開發人員更好地理解軟件架構。軟件架構文檔的寫作應該遵循一定的原則。以下關于軟件架構文檔寫作原則的敘述中,錯誤的是(49)。
A.架構文檔應該從架構設計者的角度進行編寫
B.應該保持架構文檔的即時更新,但更新不要過于頻繁
C.架構文檔中的描述應該盡量避免不必要的重復
D.每次架構文檔修改,都應該記錄修改的原則
架構復審是基于架構開發中一個重要的環節。以下關于架構復審的敘述中,錯誤的是(50)。
A.架構復審的目標是標識潛在的風險,及早發現架構設計的缺陷和錯誤
B.架構復審過程中,通常會對一個可運行的最小化系統進行架構評估和測試
C.架構復審人員由系統設計與開發人員組成
D.架構設計、文檔化和復審是一個迭代的過程
Windows操作系統在圖形用戶界面處理方面采用的核心架構風格是(51)風格。Java語言宣傳的“一次編寫,到處運行”的特性,從架構風格上看符合(52)風格的特點。
(51)A.虛擬機
B.管道-過濾器
C.事件驅動
D.微內核-擴展
(52)A.虛擬機
B.管道-過濾器
C.事件驅動
D.微內核-擴展
某軟件開發公司負責開發一個Web服務器服務端處理軟件,其核心部分是對客戶端請求消息的解析與處理,包括HTTP報頭分離、SOAP報文解析等功能。該公司的架構師決定采用成熟的架構風格指導整個軟件的設計,以下(53)架構風格,最適合該服務端處理軟件。
A.虛擬機
B.管道-過濾器
C.黑板結構
D.分層結構
某公司欲開發一個基于圖形用戶界面的集成調試器。該調試器的編輯器和變量監視器可以設置調試斷點。當調試器在斷點處暫停運行時,編輯程序可以自動卷屏到斷點,變量監視器刷新變量數值。針一對這樣的功能描述,采用(54)的架構風格最為合適。
A.數據共享
B.虛擬機
C.隱式調用
D.顯式調用
某公司欲開發一種工業機器人,用來進行汽車零件的裝配。公司的架構師經過分析與討論,給出了該機器人控制軟件的兩種候選架構方案:閉環控制和分層結構。以下對于這兩種候選架構的選擇理由,錯誤的是(55)。
A.應該采用閉環控制架構,因為閉環結構給出了將軟件分解成幾個協作構件的方法,這對于復雜任務特別適合
B.應該采用閉環控制結構,因為閉環控制架構中機器人的主要構件監控器、傳感器、發動機等)是彼此分開的,并能夠獨立替換
C.應該采用分層結構,因為分層結構很好地組織了用來協調機器人操作的構件,系統結構更加清晰
D.應該采用分層結構,因為抽象層的存在,滿足了處理不確定性的需要:在較低層次不確定的實現細節在較高層次會變得確定
一個軟件的架構設計是隨著技術的不斷進步而不斷變化的。以編譯器為例,其主流架構經歷了管道-過濾器到數據共享為中心的轉變過程。以下關于編譯器架構的敘述中,錯誤的是(56)。
A.早期的編譯器采用管道一過濾器架構風格,以文本形式輸入的代碼被逐步轉化為各種形式,最終生成可執行代碼
B.早期的編譯器采用管道一過濾器架構風格,并且大多數編譯器在詞法分析時創造獨立的符號表,在其后的階段會不斷修改符號表,因此符號表并不是程序數據的一部分
C.現代的編譯器采用以數據共享為中心的架構風格,主要關心編譯過程中程序的中間表示
D.現代的編譯器采用以數據共享為中心的架構風格,但由于分析樹是在語法分析階段結束后才產生作為語義分析的輸入,因此分析樹不是數據中心的共享數據
(57)的選擇是開發一個軟件系統時的基本設計決策;(58)是最低層的模式,關注軟件系統的設計與實現,描述了如何實現構件及構件之間的關系。引用一計數是C++管理動態資源時常用的一種(59)。
(57)A.架構模式
B.慣用法
C.設計模式
D.分析模式
(58)A.架構模式
B.慣用法
C.設計模式
D.分析模式
(59)A.架構模式
B.慣用法
C.設計模式
D.分析模式
某軟件公司基于面向對象技術開發了一套圖形界面顯示構件庫VisualComponent。在使用該庫構建某圖形界面時,用戶要求為界面定制一些特效顯示效果,如帶滾動條、能夠顯示藝術字體的透明窗體等。針對這種需求,公司采用(60)最為靈活。
A.橋接模式
B.命令模式
C.組合模式
D.裝飾模式
某軟件公司承接了為某工作流語言開發解釋器的工作。該工作流語言由多種活動節點構成,具有類XML的語法結構。用戶要求解釋器工作時,對每個活動節點進行一系列的處理,包括執行活動、日志記錄、調用外部應用程序等,并且要求處理過程具有可擴展能力。針對這種需求,公司采用(61)最為恰當。
A.適配器模式
B.迭代器模式
C.訪問者模式
D.觀察者模式
Architecture Tradeoff Analysis Method(ATAM)是一種軟件架構的評估方法,以下關于該方法的敘述中,正確的是(62)。
A.ATAM是一種代碼評估方法
B.ATAM需要評估軟件的需求是否準確
C.ATAM需要對軟件系統進行測試
D.ATAM不是一種精確的評估工具
識別風險點、非風險點、敏感點和權衡點是ATAM方法中的關鍵步驟。己知針對某系統所做的架構設計中,提高其加密子系統的加密級別將對系統的安全性和性能都產生非常大的影響,則該子系統一定屬于(63)。
A.風險點和敏感點
B.權衡點和風險點
C.權衡點和敏感點
D.風險點和非風險點
信息安全策略應該全面地保護信息系統整體的安全,網絡安全體系設計是網絡邏輯設計工作的重要內容之一,可從物理線路安全、網絡安全、系統安全、應用安全等方面來進行安全體系的設計與規劃。其中,數據庫的容災屬于(64)的內容。
A.物理線路安全與網絡安全
B.網絡安全與系統安全
C.物理線路安全與系統安全
D.系統安全與應用安全
公司總部與分部之間需要傳輸大量數據,在保障數據安全的同時又要兼顧密鑰算法效率,最合適的加密算法是(65)。
A.RC-5
B.RSA
C.ECC
D.MD5
我國的《著作權法》對一般文字作品的保護期是作者有生之年和去世后50年,德國的《版權法》對一般文字作品的保護期是作者有生之年和去世后70年。假如某德國作者已去世60年,以下說法中正確的是(66)。
A.我國M出版社擬在我國翻譯出版該作品,需要征得德里作者繼承人的許可方可在我國出版發行
B.我國M出版社擬在我國翻譯出版該作品,不需要征得德國作者繼承人的許可,就可在我國出版發行
C.我國M出版社未征得德國作者繼承人的許可,將該翻譯作品銷售到德國,不構成侵權
D.我國M出版社未征得德國作者繼承人的許可,將該翻譯作品在我國銷售,構成侵權
(67)不屬于我國著作權法所保護的內容。
A.為保護其軟件著作權而采取的技術措施
B.軟件權利電子信息
C.通過信息網絡傳播的軟件
D.采用反編譯技術獲得的軟件
王某原是X公司的項目經理,在X公司任職期間主持開發了某軟件,但未與X公司簽定勞動合同及相應的保密協議。X公司對該軟件進行了軟件著作權登記并獲準。王某隨后離職并將其在X公司任職期間掌握的該軟件技術信息、客戶需求及部分源程序等秘密信息提供給另一軟件公司。王某的行為(68)。
A.既侵犯了科技公司的商業秘密權,又侵犯了科技公司的軟件著作權
B.既未侵犯科技公司的商業秘密權,又未侵犯科技公司的軟件著作權
C.侵犯了科技公司的商業秘密權
D.侵犯了科技公司的軟件著作權
對實際應用問題建立了數學模型后,一般還需要對該模型進行檢驗。通過檢驗盡可能找出模型中的問題,以利于改進模型,有時還可能會否定該模型。檢驗模型的做法有多種,但一般不會(69)。
A.利用實際案例數據對模型進行檢驗
B.進行邏輯檢驗,分析該模型是否會出現矛盾
C.用計算機模擬實際問題來檢驗模型
D.檢驗該模型所采用的技術能否被企業負責人理解
某類產品n種品牌在某地區的市場占有率常用概率向量u=(u1,u2,…,un)表示(各分量分別表示各品牌的市場占有率,值非負,且總和為1)。市場占有率每隔一定時間的變化常用轉移矩陣Pn*n表示。設初始時刻的市場占有率為向量u,則下一時刻的市場占有率就是uP,再下一時刻的市場占有率就是uP2,…。如果在相當長時期內,該轉移矩陣的元素均是常數,則市場占有率會逐步穩定到某個概率向量z,即出現ZP=Z。這種穩定的市場占有率體現了轉移矩陣的特征,與初始時刻的市場占有率無關。
假設占領某地區市場的冰箱品牌A與B,每月市場占有率的變化可用如一下常數轉移矩陣來描述:
則冰箱品牌A與B在該地區最終將逐步穩定到市場占有率(70)。

A.(1/4,3/4)
B.(1/3,2/3)
C.(1/2,1/2)
D.(2/3,1/3)
An architectural style defines as a family of such systems in terms of a(71)of structural organization.More specifically,an architectural style defines a vocabulary of(72)and connector types,and a set of(73)on how they can be combined.For many styles there may also exist one or more(74)that specify how to determine a system’s overall properties from the properties of its parts.Many of architectural styles have been developed over the years.
The best-known examples of(75)architectures are programs written in the Unix shell.
(71)A.pattern
B.data flow
C.business process
D.position level
(72)A.metadata
B.components
C.models
D.entities
(73)A.functions
B.code segments
C.interfaces
D.constraints
(74)A.semantic models
B.weak entities
C.data schemas
D.business models
(75)A.event-based
B.object-oriented
C.pipe-and-filter
D.layered
軟考科目怎么選?
微信掃碼下方二維碼找答案
▼ ▼ ▼
熱門:系統集成項目管理工程師備考 | 網絡工程師備考 | 軟件設計師備考
推薦:系統規劃與管理師網絡課堂 | 2026年軟考報名時間及入口匯總表
活動:資料下載 | 新人禮包 | 2026上半年軟考第二期模考大賽![]()
課程:系統規劃與管理師備考策略 | PMP課程
軟考備考資料免費領取
去領取
專注在線職業教育25年