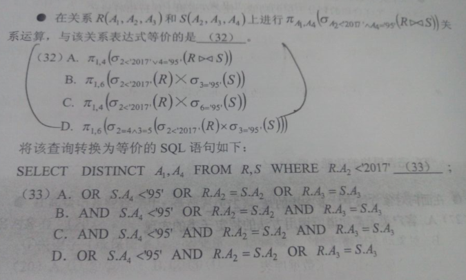
摘要:希賽網為大家整理了2017上半年數據庫系統工程師考試上午真題,以下為第四部分。給定關系模式R;,其中U為關系R的屬性集,F是U上的一組函數依賴,X、Y、Z、W是U上的屬性組。下列結論正確的是(31)。A.若wx→y,y→Z成
希賽網為大家整理了2017上半年數據庫系統工程師考試上午真題,以下為第四部分。
給定關系模式R<U,F>;,其中U為關系R的屬性集,F是U上的一組函數依賴,X、Y、Z、W是U上的屬性組。下列結論正確的是(31)。
A.若wx→y,y→Z成立,則X→Z成立
B.若wx→y,y→Z成立,則W→Z成立
C若X→y,WY→z成立,則xw→Z成立
D.若X→y,Z r;;;.U成立,則X→YZ成立

給定關系模式R<U,F>,U={A,B,C,D,日,F={B→A,D→A,A→E,
AC→B},則R的候選關鍵字為(34),分解ρ=(RlABCE),RlCD)}(35)。
(34)A.CD B.ABD C.ACD D.ADE
(35)A.具有無損連接性,且保持函數依賴
B.不具有無損連接性,但保持函數依賴
C.具有無損連接性,但不保持函數依賴
D.不具有無損連接性,也不保持函數依賴
并發執行的三個事務T1、T2和T3,事務T1對數據D1加了共享鎖,事務T2、T3分別對數據D2、D3加了排它鎖,之后事務T1對數據(36);事務T2對數據(37)。
(36)A.D2、D3加排它鎖都成功
B.D2、D3加共享鎖都成功
C.D2加共享鎖成功,D3力日排它鎖失敗
D.D2、D3加排它鎖和共享鎖都失敗
(37)A.D1、D3加共享鎖都失敗
B.D1、D3加共享鎖都成功
C.D1加共享鎖成功,D3加排它鎖失敗
D.DJ加排它鎖成功,D3加共享鎖失敗
數據庫概念結構設計階段的工作步驟依次為(38)。
A.設計局部視圖→抽象→修改重構消除冗余→合并取消沖突
B.設計局部視圖→抽象→合并取消沖突→修改重構消除冗余
C.抽象→設計局部視圖→修改重構消除冗余→合并取消沖突
D.抽象→設計局部視圖→合并取消沖突→修改重構消除冗余
在數據傳輸過程中,為了防止被竊取可以通過(39)來實現的。
A.用戶標識與鑒別 B.存取控制 C.數據加密 D.審計
在某企業的工程項目管理數據庫中供應商關系Supp、項目關系Proj和零件關系Part的E-R模型和關系模式如下:
Supp(供應商號,供應商名,地址,電話)//供應離號標識&聊中的每一個且Proj(項目號,項目名,負責人,電話)//項目號標識Proj中的每一個元組Part(零件號,零件名)//零件號標識Part中的每一個元組其中,每個供應商可以為多個項目供應多種零件,每個項目可以由多個供應商供應多種零件,每種零件可以由多個供應商供應給多個項目。SP_P的聯系類型為(40),(41)。

(40)A.*:*:* B.1:*:* C.1:1:* D.1:1:1
(41)
A.不需要生成一個獨立的關系模式
B.需要生成一個獨立E的關系模式,該模式的主鍵為(項目號,零件號,數量)
C.需要生成一個號束'皇的關系模式,該模式的主鍵為(供應商號,數量)
D.需要生成一寸寸拉的關系模式,該模式的主鍵為(供應商號,項目號,零件號)
>>>>返回目錄:2017上半年數據庫系統工程師考試上午真題(匯總)
>>>>進入估分:2017上半年軟考分數早知道,在線估分+真題解析
>>>>點擊查看:2017上半年數據庫系統工程師考試上午真題答案和解析
軟考不知道考啥科目?掃碼測最適合你的報考科目

熱門活動:【免費考前摸底】軟考4月模考大賽![]()
軟考備考資料免費領取
去領取
專注在線職業教育25年