摘要:下面是關于2011下半年系統集成項目管理工程師上午真題第一部分內容
2011上半年系統集成項目管理工程師上午真題(1)
● 以下對信息系統集成的描述不正確的是__(1)__
(1)A.信息系統集成包括總體策劃、設計、開發、實施、服務及保障
B.信息系統集成主要包括設備系統集成和應用系統集成
C.信息系統集成是具有高技術含量的工程過程,要面向用戶需求提供全面解決方案
D.信息系統集成工作的核心是滿足用戶要求,管理和商務活動是系統集成項目實施成功的保證
● 計算機信息系統集成資質評定條件中規定:“對于申報信息系統集成資質二級以上資質的企業,需要已建立完備的企業質量管理體系,通過認可的第三方認證機構認證并有效運行一年以上”。其中“認可”是指經過__(2)__認可的機構。
(2)A.工業和信息化部指定的系統集成資質評審機構
B.質量監督檢驗檢疫總局
C.中國合格評定認可委員會
D.工業和信息化部資質認證辦公室
● 下列關于系統集成資質證書的敘述,正確的是__(3)__
(3)A.所有資質證書都由工業和信息化部審批
B.系統集成一、二級資質證書由部級評審機構審批,三、四級由地方評審機構審批
C.系統集成一、二級資質證書由工業和信息化部審批,三、四級由地方信息產業主管部門審批,報工業和信息化部備案
D.系統集成一、二級資質證書由工業和信息化部和部級評審機構審批,三、四級由地方信息產業主管部門和地方評審機構審批
● 某企業的郵件服務器經常宕機,按照IT服務管理要求,為徹底解決該問題應啟動__(4)__流程。
(4)A.事件管理
B.問題管理
C.發布管理
D.變更管理
● 以互聯網為基礎,將數字化、智能化的物體接入其中,實現自組織互聯,是互聯網的延伸與擴展;通過嵌入到物體上的各種數字化標識、感應設備,如RFID標簽、傳感器、響應器等,使物體具有可識別、可感知、交互和響應的能力,并通過與Internet的集成實現物物相聯,構成一個協同的網絡信息系統。以上描述的是__(5)__。
(5)A.智慧地球
B.三網融合
C.SaaS
D.物聯網
● 模糊測試(Fuzz testing)是一種通過向目標系統提供非預期的輸入并監視異常結果來發現軟件漏洞的方法,是用于系統安全漏洞發掘的重要技術。模糊測試的測試用例通常是__(6)__。
(6)A.預定數量的字符串
B.預定長度的字符串
C.模糊集的隸屬度
D.隨機數據
● 軟件設計包括軟件架構設計和軟件詳細設計。架構設計屬于高層設計,主要描述軟件的結構和組織,標識各種不同的組件。由此可知,在信息系統開發中,__(7)__屬于軟件架構設計師要完成的主要任務之一。
(7)A.軟件復用
B.模式設計
C.需求獲取
D.需求分配
● 下列測試方法中,__(8)__均屬于白盒測試的方法。
(8)A.語句覆蓋法和邊界值分析法
B.條件覆蓋法和基本路徑測試法
C.邊界值分析法和代碼檢查法
D.等價類劃分和錯誤推測法
● 電子商務發展的核心與關鍵問題是交易的安全性,目前安全交易中最重要的兩個協議是__(9)__
(9)A.S-HTTP和STT
B.SEPP和SMTP
C.SSL和SET
D.SEPP和SSL
● 為了改進應用軟件的可靠性和可維護性,并適應未來軟硬件環境的變化,應主動增加新的功能以使應用系統適應各類變化而不被淘汰。為了適應未來網絡帶寬的需要,在滿足現有帶寬需求下,修改網絡軟件從而使之支持更大的帶寬,這種軟件維護工作屬于__(10)__
(10)A.更正性維護
B.適應性維護
C.完善性維護
D.預防性維護
● 軟件開發項目規模度量(size measurement)是估算軟件項目工作量、編制成本預算、策劃合理項目進度的基礎。在下列方法中__(11)__可用于軟件的規模估算,幫助軟件開發團隊把握開發時間、費用分布等。
(11)A.德爾菲法
B.V模型方法
C.原型法
D.用例設計
● 在信息系統集成項目中,經常使用__(12)__對集成的系統進行性能測試。
(12)A.Bugzilla
B.TestManager
C.TrueCoverage
D.LoadRunner
● 根據《軟件文檔管理指南GB/T 16680-1996》,關于軟件文檔的歸檔工作,下列說法中__(13)__是不正確的。
(13)A.軟件文檔必須在項目開發過程結束之后統一歸檔
B.歸檔的文檔應是經過鑒定或評審的
C.文檔應簽署完整、成套、格式統一、字跡工整
D.印制本、打印本以及各種報告應裝訂成冊并按規定進行編號簽署
● 根據《中華人民共和國招投標法》,以下做法正確的是__(14)__
(14)A.某項目于2月1日公開發布招標文件,標明截止時間為2011年2月14日9時整
B.開標應當在招標文件確定的提交投標文件截止時間的同一時間公開進行
C.某項目的所有投標都不符合招標文件要求,評標委員會在與招標方商量后,確定其中最接近投標文件要求的一家公司中標
D.聯合投標的幾家企業中只需一家達到招標文件要求的資質即可
● 某市政府采購辦公用計算機及配套軟件時進行了公開招標,以下做法正確的是__(15)__
(15)A.在招標文件中明確指出投標企業不應有外資背景
B.該項目招標結束后,招標單位向中標人發出中標通知書,但對所有未中標的投標人只通知了中標結果
C.某項目在招標時僅有一家企業投標,于是該企業順利中標
D.某項目的評標委員會由一名經濟專家、一名技術專家和一名招標單位負責人組成。
● 根據《中華人民共和國政府采購法》,以下做法正確的是:__(16)__ ①某市民政局在進行政府采購的重新招標時,由于僅有兩家企業的標的合格,于是報請本地采購監督管理部門批準將招標形式轉為競爭性談判 ②某市民政局在進行政府采購的公開招標時,由于沒有企業投標,于是報請本地采購監督管理部門批準將招標形式轉為競爭性談判 ③某市民政局在進行政府采購的公開招標時,由于僅有一家企業的標的合格,于是報請本地采購監督管理部門批準將招標形式轉為單一來源采購 ④某縣民政局在進行公開招標時連續兩次出現流標,于是報請本地采購監督管理部門批準將招標形式轉為競爭性談判
(16)A.①②
B.①③
C.②③
D.②④
● 在用例設計中,可以使用UML中的__(17)__來描述用戶和系統之間的交互,說明系統功能行為。
(17)A.序列圖
B.構件圖
C.類圖
D.部署圖
● 根據下面的UML類圖,以下敘述中__(18)__是不正確的

(18)A.容器是一個組件
B.GUI組件就是一個容器
C.GUI組件是一個對象
D.容器和GUI組件都是組件
● TCP/IP協議族中的__(19)__協議支持離線郵件處理,電子郵件客戶端可利用該協議下載所有未閱讀的電子郵件。

(19)A.FTP
B.POP3
C.Telnet
D.SNMP
● 系統集成工程師小王為了查詢其工作站的狀態,在其工作站的命令行上運行“ping127.0.0.1”命令,得到如下結果:#FormatImgID_1#關于以上查詢結果,下列說法中,正確的是__(20)__
(20)A.小王的工作站正確安裝了TCP/IP協議
B.小王的工作站訪問了網關并收到響應
C.小王的工作站訪問了DNS并收到響應
D.小王的工作站未正確安裝網絡硬件或驅動程序
● 某綜合辦公大樓的樓高20層,其綜合布線系統一般采用的拓撲結構是__(21)__
(21)A.環型
B.總線型
C.分級星型
D.星環型
● 依據《電子信息系統機房設計規范》(GB50174-2008),對于涉及秘密或企業對商業信息有保密要求的電子信息系統機房,應設置電磁屏蔽室。以下描述中,不符合該規范要求的是__(22)__
(22)A.所有進入電磁屏蔽室的電源線纜應通過電源濾波器進行
B.進出電磁屏蔽室的網絡線宜采用光纜或屏蔽線纜線,光纜應帶有金屬加強芯
C.非金屬材料穿過屏蔽層時應采用波導管,波導管的截面尺寸和長度應滿足電磁屏蔽的性能要求
D.截止波導通風窗內的波導管宜采用等邊六角形,通風窗的截面積應根據室內換氣次數進行計算
● 某公司有一臺Linux文件服務器,多臺Windows客戶端和Linux客戶端。要求任意一個客戶端都可以共享服務器上的文件,并且能夠直接存取服務器上的文件。客戶端和服務器間應該使用__(23)__協議。
(23)A.NFS
B.Samba
C.FTP
D.iSCSI
● 根據《電子信息系統機房設計規范 GB50174-2008》,電子信息系統機房應對人流和出入口進行安全考慮,以下敘述錯誤的是__(24)__。
(24)A.建筑的入口至主機房應設通道,通道凈寬不應小于1.5m
B.電子信息系統機房宜設門廳、休息室、值班室和更衣間
C.電子信息系統機房應有設備搬入口
D.電子信息系統機房必須設置單獨出入口
● 信息安全的級別劃分有不同的維度,以下級別劃分正確的是__(25)__。
(25)A.系統運行安全和保密有5個層次,包括設備級安全、系統級安全、資源訪問安全、功能性安全和數據安全
B.機房分為4個級別:A級、B級、C級、D級
C.根據系統處理數據劃分系統保密等級為絕密、機密和秘密
D.根據系統處理數據的重要性,系統可靠性分A級和B級
● 系統運行安全的關鍵是管理,下列關于日常安全管理的做法,不正確的是__(26)__.
(26)A.系統開發人員和系統操作人員應職責分離
B.信息化部門領導安全管理組織,一年進行一次安全檢查
C.用戶權限設定應遵循“最小特權”原則
D.在數據轉儲、維護時要有專職安全人員進行監督
● 在某次針對數據庫的信息安全風險評估中,發現其中對財務核心數據的邏輯訪問密碼長期不變。基于以上現象,下列說法正確的是__(27)__。
(27)A.該數據不會對計算機構成威脅,因此沒有脆弱性
B.密碼和授權長期不變是安全漏洞,屬于該數據的脆弱性
C.密碼和授權長期不變是安全漏洞,屬于對該數據的威脅
D.風險評估針對設施和軟件,不針對數據
● Web服務(web service)的主要目標是跨平臺的操作性,它有許多適用場合。但某些情況下,Web服務也會降低應用程序的性能。下列情況中,__(28)__不適合采用Web服務作為主要的系統集成技術。
(28)A.B2B集成
B.集成不同語言編寫的在不同平臺上運行的應用程序
C.跨越防火墻
D.構建單機應用程序
● J2EE的四層體系架構(客戶層/表示層/業務邏輯層/數據層)中,可用來實現業務邏輯層的技術是__(29)__
(29)A.InternetExplore
B.Database
C.EnterpriseJavaBean
D.Servlet
● 某項目組需要在Windows操作系統平臺上用C++語言編寫應用構件,該項目組宜選用__(30)__作為構件標準。
(30)A.COM+
B.EJB
C.OMG
D.ODBC
● 項目經理在編制項目管理計劃時,應__(31)__。
(31)A.越簡單越好
B.越詳細越好
C.逐步細化
D.按照公司的模板編制,不能變更
● 在項目整體管理過程中監督和控制項目是一個關鍵環節,下列不屬于監督和控制過程組的是__(32)__
(32)A.客戶等項目干系人正式驗收并接受已完成的項目可交付物的過程
B.企業質量管理體系審計
C.在管理項目團隊時,項目經理與組員就組員情況進行正式交談
D.編制績效報告
● 項目經理王某對其負責的系統集成項目進行了成本估算和進度安排,根據團隊成員的情況分配了任務,并制定出計劃執行預算成本的基準。由于公司高層領導非常重視該項目,特地調配了幾名更有經驗(薪水更高)的技術骨干參與項目,這種變化對項目績效造成的最可能影響是__(33)__。
(33)A.正的成本偏差CV,正的進度偏差SV
B.負的成本偏差CV,正的進度偏差SV
C.正的成本偏差CV,負的進度偏差SV
D.負的成本偏差CV,負的進度偏差SV
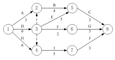
● 依據下面的項目活動網絡圖中,該項目歷時為__(34)__天。

A.10
B.11
C.13
D.14
● 下列__(35)__做法不屬于進度壓縮。
(35)A.某項目經理發現項目工期延后,于是開始讓項目組成員開始加班加點,提高加班工資,以期待能在規定時間內完成項目
B.某項目經理發現項目組成員由于對技術的掌握不熟練,造成進展緩慢,延誤工期,于是指派了有經驗的人員幫助完成
C.為了節省時間,在需求設計還沒有完成時,項目經理就通知組內編程人員開始編寫代碼
D.項目經理啟用應急時間來增加一些項目時間
● 出現“關鍵路徑上的活動總時差是零和負數”情況下,下列分析正確的是__(36)__。
(36)A.關鍵路徑上的活動總時差可能為零的原因是每個相鄰活動都是緊前或緊后的,需要調整以給活動留出時間余地
B.關鍵路徑上的活動總時差可能為負的原因是由于安排調配不得當所造成的活動非合理性交錯現象,有必要調整活動持續時間、邏輯關系等使得活動總時差為零
C.關鍵路徑上的活動總時差可能為負的原因是因為用最早時間減去最晚時間,不需要調整以給活動留出余地
D.關鍵路徑上的活動總時差可能為零的原因是由于安排活動進度沒有余地,需要調整以給活動留出余地
● 下列做法無助于縮短活動工期的是__(37)__
(37)A.投入更多的資源以加快活動進程
B.減小活動范圍或降低活動要求
C.通過改進方法或者技術提高生產率
D.采用甘特圖法
● 下列關于工作分解結構(WBS)的敘述中,錯誤的是__(38)__。
(38)A.項目經理在分解結構時,嚴格地將一個工作單元隸屬于某個上層工作單元,完全避免交叉從屬
B.項目管理部依照項目經理分解的WBS進行項目成本估算,但最后發現成本超過預計投資
C.項目經理將項目管理工作也編制成為WBS的一部分
D.項目經理在執行某復雜項目時,在項目開始階段一次性將項目分解成為精確的WBS,最后按計劃完成了任務,受到領導好評
軟考科目怎么選?
微信掃碼下方二維碼找答案
▼ ▼ ▼
熱門:系統集成項目管理工程師備考 | 網絡工程師備考 | 軟件設計師備考
推薦:系統規劃與管理師網絡課堂 | 2026年軟考報名時間及入口匯總表
活動:資料下載 | 新人禮包 | 2026上半年軟考第二期模考大賽![]()
課程:系統規劃與管理師備考策略 | PMP課程
軟考備考資料免費領取
去領取
專注在線職業教育25年