>>點擊查看完整版2015年軟件設計師上半年上午真題匯總。"/>
摘要:軟件設計師對編程的能力要求不高,講究的是軟件工程。從軟件編程的環節跳出到廣義的軟件設計,所以理論一定要夠強,思維敏捷。復習軟件設計師建議大家多做題來鞏固書面知識,下面是關于2015年軟件設計師上半年上午真題第一部分內容。>>>點擊查看完整版2015年軟件設計師上半年上午真題匯總。
軟件設計師對編程的能力要求不高,講究的是軟件工程。從軟件編程的環節跳出到廣義的軟件設計,所以理論一定要夠強,思維敏捷。復習軟件設計師建議大家多做題來鞏固書面知識,下面是關于2015年軟件設計師上半年上午真題第一部分內容。>>>點擊查看完整版2015年軟件設計師上半年上午真題匯總。
2015年軟件設計師上半年上午真題(一)
● 計算機中CPU對其訪問速度最快的是__(1)__。
(1)A.內存
B.Cache
C.通用寄存器
D.硬盤
● 機器字長為n位的二進制數可以用補碼來表示__(2)__個不同的有符號定點小數。
(2)A.2n
B.2n-1
C.2n-1
D.2n-1+1
● Cache的地址映像方式中,發生塊沖突次數最小的是__(3)__。
(3)A.全相聯映像
B.組相聯映像
C.直接映像
D.無法確定的
● 計算機中CPU的中斷響應時間指的是__(4)__的時間。
(4)A.從發出中斯請求到中斷處理結束
B.從中斷處理開始到中斷處理結束
C.CPU分析判斷中斷請求
D.從發出中斷請求到開始進入中斷處理程序
● 總線寬度為32bit,時鐘頻率為200MHz,若總線上每5個時鐘周期傳送一個32bit的字,則該總線的帶寬為__(5)__MB/S。
(5)A.40
B.80
C.160
D.200
● 以下關于指令流水線性能度量的敘述中,錯誤的是__(6)__。
(6)A.最大吞吐率取決于流水線中最慢一段所需的時間
B.如果流水線出現斷流,加速比會明顯下降
C.要使加速比和效率最大化應該對流水線各級采用相同的運行時間
D.流水線采用異步控制會明顯提高其性能
● __(7)__協議在終端設備與遠程站點之間建立安全連接。
(7)A. ARP
B.Telnet
C.SSH
D.WEP
● 安全需求可劃分為物理線路安全、網絡安全、系統安全和應用安全。下面的安全需求中屬于系統安全的是__(8)__,屬于應用安全的是__(9)__。
(8)A.機房安全
B.入侵檢測
C.漏洞補丁管理
D.數據庫安全
(9)A.機房安全
B.入侵檢測
C.漏洞補丁管理
D.數據庫安全
● 王某是某公司的軟件設計師,每當軟件開發完成后均按公司規定編寫軟件文檔,并提交公司存檔。那么該軟件文檔的著作權__(10)__享有。
(10)A.應由公司
B.應由公司和王某共同
C.應由王某
D.除署名權以外,著作權的其他權利由王某
● 甲、乙兩公司的軟件設計師分別完成了相同的計算機程序發明,甲公司先于乙公司完成,乙公司先于甲公司使用。甲、乙公司于同一天向專利局申請發明專利。此情形下,__(11)__可獲得專利權。
(11)A.甲公司
B.甲、乙公司均
C.乙公司
D.由甲、乙公司協商確定誰
● 以下媒體中,__(12)__是感覺媒體。
(12)A.音箱
B.聲音編碼
C.電纜
D.聲音
● 微型計算機系統中,顯示器屬于__(13)__。
(13)A.表現媒體
B.傳輸媒體
C.表示媒體
D.存儲媒體
● __(14)__是表示顯示器在縱向(列)上具有的像素點數目指標。
(14)A.顯示分辨率
B.水平分辨率
C.垂直分辨率
D.顯示深度
● 軟件工程的基本要素包括方法、工具和__(15)__。
(15)A.軟件系統
B.硬件系統
C.過程
D.人員
● 在__(16)__設計階段選擇適當的解決方案,將系統分解為若干個子系統,建立整個系統的體系結構。
(16)A.概要
B.詳細
C.結構化
D.面向對象
● 某項目包含的活動如下表所示,完成整個項目的最短時間為__(17)__周。不能通過縮短活動__(18)__的工期,來縮短整個項目的完成時間。


(17)A.16
B.17
C.18
D.19
(18)A.A
B.B
C.D
D.F
● 風險的優先級通常是根據__(19)__設定。
(19)A.風險影響(Risk Impact)
B.風險概率(Risk Probability)
C.風險暴露(Risk Exposure)
D.風險控制(Risk Control)
● 以下關于程序設計語言的敘述中,錯誤的是__(20)__。
(20)A.程序設計語言的基本成分包括數據、運算、控制和傳輸等
B.高級程序設計語言不依賴于具體的機器硬件
C.程序中局部變量的值在運行時不能改變
D.程序中常量的值在運行時不能改變
● 與算術表達式“(a+(b-c))*d”對應的樹是__(21)__。


● C程序中全局變量的存儲空間在__(22)__分配。
(22)A.代碼區
B.靜態數據區
C.棧區
D.堆區
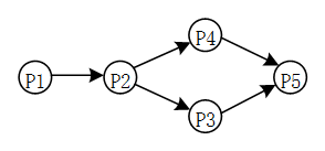
● 進程P1、P2、P3、P4和P5的前趨圖如下所示:


若用PV操作控制進程P1、P2、P3、P4 、P5并發執行的過程,則需要設置5個信號量S1、S2、S3、S4和S5,且信號量S1~S5的初值都等于零。下圖中a、b 和c處應分別填寫__(23)__;d和e處應分別填寫__(24)__,f和g處應分別填寫__(25)__。


(23)A.V(S1)、P(S1)和V(S2)V(S3)
B.P(S1)、V (S1)和V(S2)V(S3)
C.V(S1)、V(S2)和P(S1)V(S3)
D.P(S1)、V(S2)和V (S1)V(S3)
(24)A.V(S2)和P(S4)
B.P(S2)和V(S4)
C.P(S2)和P(S4)
D.V(S2)和V(S4)
(25)A.P(S3)和V(S4)V(S5)
B.V(S3)和P(S4)P(S5)
C.P (S3)和P(S4)P(S5)
D.V(S3)和V(S4)V(S5)
● 某進程有4個頁面,頁號為0~3,頁面變換表及狀態位、訪問位和修改位的含義如下圖所示。若系統給該進程分配了3個存儲塊,當訪問前頁面1不在內存時,淘汰表中頁號為__(26)__ 的頁面代價最小。


(26)A.0
B.1
C.2
D.3
● 嵌入式系統初始化過程主要有3個環節,按照自底向上、從硬件到軟件昀次序依次為__(27)__。系統級初始化主要任務是__(28)__。
(27)A.片級初始化→系統級初始化→板級初始化
B.片級初始化→板級初始化→系統級初始化
C.系統級初始化→板級初始化→片級初始化
D.系統級初始化→片級初始化→板級初始化
(28)A.完成嵌入式微處理器的初始化
B.完成嵌入式微處理器以外的其他硬件設備的初始化
C.以軟件初始化為主,主要進行操作系統的初始化
D.設置嵌入式微處理器的核心寄存器和控制寄存器工作狀態
● 某公司計劃開發一種產品,技術含量很高,與客戶相關的風險也很多,則最適于采用__(29)__開發過程模型。
(29)A.瀑布
B.原型
C.增量
D.螺旋
● 在敏捷過程的方法中__(30)__認為每一個不同的項目都需要一套不同的策略、約定和方法論。
(30)A.極限編程(XP)
B.水晶法(Crystal)
C.并列爭球法(Scrum)
D.自適應軟件開發(ASD)
● 軟件配置管理的內容不包括__(31)__。
(31)A.版本控制
B.變更控制
C.過程支持
D.質量控制
● 某模塊實現兩個功能:向某個數據結構區域寫數據和從該區域讀數據。該模塊的內聚類型為__(32)__內聚。
(32)A.過程
B.時間
C.邏輯
D.通信
● 正式技術評審的目標是__(33)__ 。
(33)A.允許高級技術人員修改錯誤
B.評價程序員的工作效率
C.發現軟件中的錯誤
D.記錄程序員的錯誤情況并與績效掛鉤
● 自底向上的集成測試策略的優點包括__(34)__。
(34)A.主要的設計問題可以在測試早期處理
B.不需要寫驅動程序
C.不需要寫樁程序
D.不需要進行回歸測試
軟考備考資料免費領取
去領取
專注在線職業教育25年