>>點擊查看完整版2012年下半年軟件設計師上午真題匯總"/>
摘要:下面是關于2012年下半年軟件設計師上午真題第一部分內容>>>點擊查看完整版2012年下半年軟件設計師上午真題匯總
>>>2017年軟件設計師網絡課堂課
>>>軟件設計師歷年真題題庫
>>>2017年軟件設計師考試指南
下面是關于2012年下半年軟件設計師上午真題第一部分內容>>>點擊查看完整版2012年下半年軟件設計師上午真題匯總
● 在面向對象技術中,對象具有以下特性:__(37)__。
①清晰的邊界 ②良好定義的行為 ③確定的位置和數量 ④可擴展性
(37)A.②④
B.①②③④
C.①②④
D.①②
● 在面向對象技術中,__(38)__說明一個對象具有多種形態,__(39)__定義超類與子類之間的關系。
(38)A.繼承
B.組合
C.封裝
D.多態
(39)A.繼承
B.組合
C.封裝
D.多態
● 如果要表示待開發軟件系統中軟件組件和硬件之間的物理關系,通常采用UML中的__(40)__。
(40)A.組件圖
B.部署圖
C.類圖
D.網絡圖
● 對于場景:一個公司負責多個項目,每個項目(Project)由一個員工(Employee)團隊( Team)來開發。下列UML概念圖中,__(41)__最適合描述這一場景。

(41)A.圖A
B.圖B
C.圖C
D.圖D
● UML中接口可用于__(42)__。
(42)A.提供構造型( stereotype)名稱為〈〈terface〉〉的具體類
B.Java和C++程序設計中,而C#程序設計中不支持
C.定義可以在多個類中重用的可執行邏輯
D.聲明對象類所需要的服務
● 下列活動圖中可以同時執行的活動是__(43)__。

(43)A.a44和a66
B.a22,a33和a44
C.a11和a77
D.a66和a77
● 每種設計模式都有特定的意圖。__(44)__模式使得一個對象在其內部狀態改變時通過調用另一個類中的方法改變其行為,使這個對象看起來如同修改了它的類。下圖是采用該模式的有關TCP連接的結構圖實例。該模式的核心思想是引入抽象類__(45)__來表示TCP連接的狀態,聲明不同操作狀態的公共接口,其子類實現與特定狀態相關的行為。當一個__(46)__對象收到其它對象的請求時,它根據自身的當前狀態做出不同的反應。

(44)A.適配器( Adapter)
B.命令(Command)
C.觀察者( Visitor)
D.狀態(State)
(45)A.TCPConnection
B.state
C.TCPState
D.TCPEstablished
(46)A.TCPConnection
B.state
C.TCPState
D.TCPEstablished
● 欲使類A的所有使用者都使用A的同一個實例,應__(47)__。
(47)A.將A標識為final
B.將A標識為abstract
C.將單例( Singleton)模式應用于A
D.將備忘( Memento)模式應用于A
● 將高級語言源程序翻譯成目標程序的是__(48)__。
(48)A.解釋程序
B.編譯程序
C.鏈接程序
D.匯編程序
● 在對程序語言進行翻譯的過程中,常采用一些與之等價的中間代碼表示形式。常用的中間代碼表示不包括__(49)__。
(49)A.樹
B.后綴式
C.四元式
D.正則式
● 以下關于程序錯誤的敘述中,正確的是__(50)__。
(50)A.編譯正確的程序必然不包含語法錯誤
B.編譯正確的程序必然不包含語義錯誤
C.除數為0的錯誤可以在語義分析階段檢查出來
D.除數為0的錯誤可以在語法分析階段檢查出來
● 關系R1和R2如下圖所示:

若進行
運算,則結果集為__(51)__元關系,共有__(52)__個元組。
(51)A.4
B.5
C.6
D.7
(52)A.4
B.5
C.6
D.7
● 設有關系模式R (E,N,M,L,Q),其函數依賴集為F={ E→N,EM→Q,M→L)。則關系模式R達到了__(53)__;該關系模式__(54)__。
(53)A.1NF
B.2NF
C.3NF
D.BCNF
(54)A.無需進行分解,因為已經達到了3NF
B.無需進行分解,因為已經達到了BCNF
C.盡管不存在部分函數依賴,但還存在傳遞依賴,所以需要進行分解
D.需要進行分解,因為存在冗余、修改操作的不一致性、插入和刪除異常
● 已知關系模式:圖書(圖書編號,圖書類型,圖書名稱,作者,出版社,出版日期,ISBN),圖書編號識別一本圖書。建立“計算機”類圖書的視圖Computer-BOOK,并要求進行修改、插入操作時保證該視圖只有計算機類的圖書。實現上述要求的SQL語句如下:
CREATE __(55)__
AS SELECT圖書編號,圖書名稱,作者,出版社,出版日期
FROM圖書
WHERE圖書類型='計算機'
__(56)__;
(55)A.TABLE Computer-BOOK
B.VIEWComputer-BOOK
C.Computer-BOOK TABLE
D.Computer-BOOKVIEW
(56)A.FOR ALL
B.PUBLIC
C.WITH CHECK OPTION
D.WITH GRANT OPTION
● 在字符串的模式匹配過程中,如果模式串的每個字符依次和主事中一個連續的字符序列相等,則稱為匹配成功。如果不能在主串中找到與模式串相同的子串,則稱為匹配失敗。在布魯特—福斯模式匹配算法(樸素的或基本的模式匹配)中,若主串和模式串的長度分別為n和m(且n遠大于m),且恰好在主串末尾的m個字符處匹配成功,則在上述的模式匹配過程中,字符的比較次數最多為__(57)__。
(57)A.n*m
B.(n-m+1)*m
C.(n-m-1)*m
D.(n-m)*n
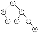
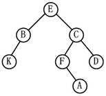
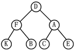
● 若某二叉樹的后序遍歷序列為KBFDCAE,中序遍歷序列為BKEFACD,則該二叉樹為__(58)__。
(58)A.
B.
C.
D.
● 在13個元素構成的有序表M[1..13]中進行折半查找(向下取整),若找到的元素為M[4],則被比較的元素依次為__(59)__。
(59)A.M[7]、 M[3]、M[5]、M[4]
B.M[7]、M[5]、M[4]
C.M[7]、M[6]、M[4]
D.M[7]、M[4]
● 拓撲排序是將有向圖中所有頂點排成一個線性序列的過程,并且該序列滿足:若在AOV網中從頂點Vi到Vj有一條路徑,則頂點Vì必然在頂點Vj之前。對于下面所示的有向圖,__(60)__是其拓撲序列。

(60)A.1234576
B.1235467
C.2135476
D.2134567
● 下圖所示為一棵M階B-樹,M最有可能的值為__(61)__。

(61)A.1
B.2
C.3
D.4
● 將數組{1,1,2,4,7,5}從小到大排序,若采用__(62)__排序算法,則元素之間需要進行的比較次數最少,共需要進行__(63)__次元素之間的比較。
(62)A.直接插入
B.歸并
C.堆
D.快速
(63)A.5
B.6
C.7
D.8
● 霍夫曼編碼將頻繁出現的字符采用短編碼,出現頻率較低的字符采用長編碼。具體的操作過程為:i)以每個字符的出現頻率作為關鍵字構建最小優先級隊列;ii)取出關鍵字最小的兩個結點生成子樹,根節點的關鍵字為孩子節點關鍵字之和,并將根節點插入到最小優先級隊列中,直至得到一顆最優編碼樹。
霍夫曼編碼方案是基于__(64)__策略的。用該方案對包含a到f六個字符的文件進行編碼,文件包含100000個字符,每個字符的出現頻率(用百分比表示)如下表所示,則與固定長度編碼相比,該編碼方案節省了__(65)__存儲空間。

(64)A.分治
B.貪心
C.動態規劃
D.回溯
(65)A.21%
B.27%
C.18%
D.36%
● 在Windows 2003 Server中啟用配置SNMP服務時,必須以__(66)__身份登錄才能完成SNMP服務的配置功能。
(66)A.guest
B.普通用戶
C.administrator組成員
D.user組成員
● 在ASP的內置對象中,__(67)__對象可以修改cookie中的值。
(67)A.request
B.response
C.application
D.session
● 分配給某公司網絡的地址塊是220.17.192.0/20,該網絡被劃分為__(68)__個C類子網,不屬于該公司網絡的子網地址是__(69)__。
(68)A.4
B.8
C.16
D.32
(69)A.220.17.203.0
B.220.17.205.0
C.220.17.207.0
D.220.17.213.0
● 如果DNS服務器更新了某域名的IP地址,造成客戶端域名解析故障,在客戶端可以用兩種方法解決此問題,其中一種是在Windows命令行下執行__(70)__命令。
(70)A.ipconfig/all
B.ipconfig/renew
C.ipconfig/flushdns
D.ipconfig/release
● Computers will become more advanced and they will also become easier to use.Improved speed recognition will make the operation of a computer easier.Mrtual reality(虛擬現實),the technology of__(71)__with a computer using all of the human senses, will also contribute to better human and computer__(72)__.Other, exotic(奇異的)models of computation are being developed, including biological computing that uses living organisms, molecular computing that uses molecules with particular __(73)__,and computing that uses DNA, the basic unit of heredity(遺傳)to store data and carry out operations. These are examples of possible future computational platforms that, so far, are limited in abilities or are strictly__(74)__.Scientists investigate them because of the physical limitations of miniaturizing circuits embedded in silicon.There are also__(75)__related to heat generated by even the tiniest of transistors.
(71)A.interact
B.interacting
C.communicate
D.using
(72)A.interfaces
B.behavior
C.similarities
D.comparison
(73)A.software
B.properties
C.programs
D.hardware
(74)A.empirical
B.real
C.practical
D.theoretical
(75)A.developments
B.advantages
C.limitations
軟考不知道考啥科目?掃碼測最適合你的報考科目

熱門活動:【免費考前摸底】軟考4月模考大賽![]()
軟考備考資料免費領取
去領取
專注在線職業教育25年