>>點擊查看完整版2011年下半年軟件設計師上午真題匯總。"/>
摘要:下面是關于2011年下半年軟件設計師上午真題第一部分內容。>>>點擊查看完整版2011年下半年軟件設計師上午真題匯總。
>>>2017年軟件設計師網絡課堂課
>>>軟件設計師歷年真題題庫
>>>2017年軟件設計師考試指南
下面是關于2011年下半年軟件設計師上午真題第一部分內容。>>>點擊查看完整版2011年下半年軟件設計師上午真題匯總。
● 若某條無條件轉移匯編指令采用直接尋址,則該指令的功能是將指令中的地址碼送入__(1)__。
(1)A.PC(程序計數器)
B.AR(地址寄存器)
C.AC(累加器)
D.ALU(算邏運算單元)
● 若某計算機系統的I/O接口與主存采用統一編址,則輸入輸出操作是通過__(2)__指令來完成的。
(2)A.控制
B.中斷
C.輸入輸出
D.訪存
● 在程序的執行過程中,Cache與主存的地址映像由__(3)__。
(3)A.專門的硬件自動完成
B.程序員進行調度
C.操作系統進行管理
D.程序員和操作系統共同協調完成
● 總線復用方式可以__(4)__。
(4)A.提高總線的傳輸帶寬
B.增加總線的功能
C.減少總線中信號線的數量
D.提高CPU利用率
● 在CPU的寄存器中,__(5)__對用戶是完全透明的。
(5)A.程序計數器
B.指令寄存器
C.狀態寄存器
D.通用寄存器
● CPU中譯碼器的主要作用是進行__(6)__。
(6)A.地址譯碼
B.指令譯碼
C.數據譯碼
D.選擇多路數據至ALU
● 利用__(7)__可以獲取某FTP服務器中是否存在可寫目錄的信息。
(7)A.防火墻系統
B.漏洞掃描系統
C.入侵檢測系統
D.病毒防御系統
● 通過內部發起連接與外部主機建立聯系,由外部主機控制并盜取用戶信息的惡意代碼為__(8)__。
(8)A.特洛伊木馬
B.蠕蟲病毒
C.宏病毒
D.CIH病毒
● 從認證中心CA獲取用戶B的數字證書,該證書用__(9)__作數字簽名;從用戶B的數字證書中可以獲得B的公鑰。
(9)A.CA的公鑰
B.CA的私鑰
C.B的公鑰
D.B的私鑰
● __(10)__指可以不經著作權人許可,不需支付報酬,使用其作品。
(10)A.合理使用
B.許可使用
C.強制許可使用
D.法定許可使用
● 王某是M國際運輸有限公司計算機系統管理員。任職期間,王某根據公司的業務要求開發了“海運出口業務系統”,并由公司使用,隨后,王某向版權局申請了計算機軟件著作權登記,并取得了《計算機軟件著作權登記證書》。證書明確軟件名稱是“海運出口業務系統Vl.0”,著作權人為王某。以下說法中,正確的是__(11)__。
(11)A.海運出口業務系統Vl.0的著作權屬于王某
B.海運出口業務系統Vl.0的著作權屬于M公司
C.海運出口業務系統Vl.0的著作權屬于王某和M公司
D.王某獲取的軟件著作權登記證是不可以撤消的
● 計算機通過MIC(話筒接口)收到的信號是__(12)__。
(12)A.音頻數字信號
B.音頻模擬信號
C.采樣信號
D.量化信號
● __(13)__既不是圖像編碼也不是視頻編碼的國際標準。
(13)A.JPEG
B.MPEG
C.ADPCM
D.H.261
● 多媒體制作過程中,不同媒體類型的數據收集、制作需要不同的軟、硬件設備和技術手段,動畫制作一般通過__(14)__進行。
A.字處理軟件 B.視頻卡 C.聲卡 D.圖形/圖像軟件
● 多媒體制作過程中,不同媒體類型的數據收集、制作需要不同的軟、硬件設備和技術手段,動畫制作一般通過()進行。
(14)A.字處理軟件 B.視頻卡 C.聲卡 D.圖形/圖像軟件
● 確定軟件的模塊劃分及模塊之間的調用關系是__(15)__階段的任務。
(15)A.需求分析
B.概要設計
C.詳細設計
D.編碼
● 利用結構化分析模型進行接口設計時,應以__(16)__為依據。
A.數據流圖 B.實體--關系圖 C.數據字典 D.狀態--遷移圖
● 利用結構化分析模型進行接口設計時,應以()為依據。
(16)A.數據流圖 B.實體--關系圖 C.數據字典 D.狀態--遷移圖
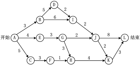
● 下圖是一個軟件項目的活動圖,其中頂點表示項目里程碑,連接頂點的邊表示包含的活動,邊上的值表示完成活動所需要的時間,則關鍵路徑長度為__(17)__。

(17)A.20
B.19
C.17
D.16
● 甘特圖(Gantt圖)不能__(18)__。
(18)A.作為項目進度管理的一個工具
B.清晰地描述每個任務的開始和截止時間
C.清晰地獲得任務并行進行的信息
D.清晰地獲得各任務之間的依賴關系
● 以下關于風險管理的敘述中,不正確的是__(19)__。
(19)A.僅根據風險產生的后果來對風險排優先級
B.可以通過改變系統性能或功能需求來避免某些風險
C.不可能去除所有風險,但可以通過采取行動來降低或者減輕風險
D.在項目開發過程中,需要定期地評估和管理風險
● 若C程序的表達式中引用了未賦初值的變量,則__(20)__。
(20)A.編譯時一定會報告錯誤信息,該程序不能運行
B.可以通過編譯并運行,但運行時一定會報告異常
C.可以通過編譯,但鏈接時一定會報告錯誤信息而不能運行
D.可以通過編譯并運行,但運行結果不一定是期望的結果
● 若二維數組arr[1..M,1..N]的首地址為base,數組元素按列存儲且每個元素占用K個存儲單元,則元素arr[i,j]在該數組空間的地址為__(21)__。
(21)A.base+((i-1)*M+j-1)*K
B.base+((i-1)*N+j-1)*K
C.base+((j-1)*M+i-1)*K
D.base+((j-1)*N+i-1)*K
● 某企業生產流水線M共有兩位生產者,生產者甲不斷地將其工序上加工的半成品放入半成品箱,生產者乙從半成品箱取出繼續加工。假設半成品箱可存放n件半成品,采用PV操作實現生產者甲和生產者乙的同步可以設置三個信號量S、S1和S2,其同步模型如下圖所示。 信號量S是一個互斥信號量,初值為__(22)__;S1、S2的初值分別為__(23)__。

(22)A.0
B.1
C.n
D.任意正整數
(23)A.n、0
B.0、n
C.1、n
D.n、1
● 若某文件系統的目錄結構如下圖所示,假設用戶要訪問文件f1.java,且當前工作目錄為Program,則該文件的全文件名為__(24)__,其相對路徑為__(25)__。

(24)A.f1.java
B.\DocumentUava-prog\f1.java
C.D:\Program\Java-prog\f1.java
D.\Program\Java-prog\f1.java
(25)A.Java-prog\
B.\Java-prog\
C.Program\Java-prog
D.\Program\Java-prog\
● 假設磁盤每磁道有18個扇區,系統剛完成了10號柱面的操作,當前移動臂在13號柱面上,進程的請求序列如下表所示。若系統采用SCAN(掃描)調度算法,則系統響應序列為__(26)__;若系統采用CSCAN(單向掃描)調度算法,則系統響應序列為__(27)__。

(26)A.⑦⑩①②④③⑨⑧⑤⑥
B.①⑦⑩②③④⑥⑤⑧⑨
C.⑦⑩①②④③⑥⑤⑧⑨
D.①⑦⑩②③④⑧⑨⑥⑤
(27)A.⑦⑩①②④③⑨⑧⑤⑥
B.①⑦⑩②③④⑥⑤⑧⑨
C.⑦⑩①②④③⑥⑤⑧⑨
D.①⑦⑩②③④⑧⑨⑥⑤
● 某程序設計語言規定在源程序中的數據都必須具有類型,然而,__(28)__并不是做出此規定的理由。
(28)A.為數據合理分配存儲單元
B.可以定義和使用動態數據結構
C.可以規定數據對象的取值范圍及能夠進行的運算
D.對參與表達式求值的數據對象可以進行合法性檢查
● 以下關于噴泉模型的敘述中,不正確的是__(29)__。
(29)A.噴泉模型是以對象作為驅動的模型,適合于面向對象的開發方法
B.噴泉模型克服了瀑布模型不支持軟件重用和多項開發活動集成的局限性
C.模型中的開發活動常常需要重復多次,在迭代過程中不斷地完善軟件系統
D.各開發活動(如分析、設計和編碼)之間存在明顯的邊界
● 若全面采用新技術開發一個大學記賬系統,以替換原有的系統,則宜選擇采用__(30)__進行開發。
(30)A.瀑布模型
B.演化模型
C.螺旋模型
D.原型模型
● 將每個用戶的數據和其他用戶的數據隔離開,是考慮了軟件的__(31)__質量特性。
(31)A.功能性
B.可靠性
C.可維護性
D.易使用性
● 在軟件評審中,設計質量是指設計的規格說明書符合用戶的要求。設計質量的評審內容不包括__(32)__。
(32)A.軟件可靠性
B.軟件的可測試性
C.軟件性能實現情況
D.模塊層次
● 針對應用在運行期的數據特點,修改其排序算法使其更高效,屬于__(33)__維護。
(33)A.正確性
B.適應性
C.完善性
D.預防性
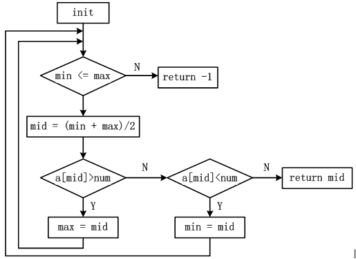
● 下圖所示的邏輯流實現折半查找功能,最少需要__(34)__個測試用例可以覆蓋所有的可能路徑。

(34)A.1
B.2
C.3
D.4
● 在某班級管理系統中,班級的班委有班長、副班長、學習委員和生活委員,且學生年齡在15~25歲。若用等價類劃分來進行相關測試,則__(35)__不是好的測試用例。
(35)A.(隊長,15)
B.(班長,20)
C.(班長,15)
D.(隊長,12)
軟考不知道考啥科目?掃碼測最適合你的報考科目

熱門活動:【免費考前摸底】軟考4月模考大賽![]()
軟考備考資料免費領取
去領取
專注在線職業教育25年