>>點擊查看完整版2011年上半年軟件設計師上午真題匯總。"/>
摘要:付出終有回報,信心絕對重要,下面是關于2011年上半年軟件設計師上午真題第二部分內容。>>>點擊查看完整版2011年上半年軟件設計師上午真題匯總。
>>>2017年軟件設計師網絡課堂課
>>>軟件設計師歷年真題題庫
>>>2017年軟件設計師考試指南
付出終有回報,信心絕對重要,下面是關于2011年上半年軟件設計師上午真題第二部分內容。>>>點擊查看完整版2011年上半年軟件設計師上午真題匯總。
2011上半年軟件設計師上午真題(2)
● 在改正當前故障的同時可能會引入新的故障,這時需要進行__(36)__。
(36)A.功能測試
B.性能測試
C.回歸測試
D.驗收測試
● 面向對象分析的第一步是__(37)__。
(37)A.定義服務
B.確定附加的系統約束
C.確定問題域
D.定義類和對象
● 下列關于一個類的靜態成員的描述中,不正確的是__(38)__
(38)A.類的靜態方法只能訪問該類的靜態數據成員
B.靜態數據成員可被該類的所有方法訪問
C.該類的對象共享其靜態數據成員的值
D.該類的靜態數據成員的值不可修改
● UML的設計視圖包含了類、接口和協作,其中,設計視圖的靜態方面由 __(39)__和__(40)__表現;動態方面由交互圖、__(41)__表現。
(39)A.類圖
B.狀態圖
C.活動圖
D.序列圖
(40)A.交互圖
B.對象圖
C.通信圖
D.定時圖
(41)A.狀態圖和類圖
B.類圖和活動圖
C.對象圖和狀態圖
D.狀態圖和活動圖
● UML中關聯的多重度是指__(42)__。
(42)A.一個類中被另一個類調用的方法個數
B.g一個類的某個方法被另一個類調用的次數
C.一個類的實例能夠與另一個類的多少個實例相關聯
D.兩個類所具有的相同的方法和屬性
● 在面向對象軟件開發過程中,采用設計模式__(43)__。
(43)A.以復用成功的設計
B.以保證程序的運行速度達到最優值
C.以減少設計過程創建的類的個數
D.允許在非面向對象程序設計語言中使用面向對象的概念
● 設計模式__(44)__將抽象部分與其實現部分相分離,使它們都可以獨立地變化。下圖為該設計模式的類圖,其中,__(45)__用于定義實現部分的接口。

(44)A.Bridge(橋接)
B.Composite(組合)
C.Facade(外觀)
D.Singleton(單例)
(45)A.Abstraction
B.ConcreteImplementorA
C.ConcreteImplementorB
D.Implementor
● 以下關于Singleton(單例)模式的描述中,正確的是__(46)__。
(46)A.它描述了只有一個方法的類的集合
B.它描述了只有一個屬性的類的集合
C.它能夠保證一個類的方法只能被一個類調用
D.它能夠保證一個類只產生一個實例
● __(47)__將一個類的接口轉換成客戶希望的另外一個接口,使得原本由于接口不兼容而不能一起工作的那些類可以一起工作。
(47)A.Adapter(適配器)模式
B.Command(命令)模式
C.Singleton(單例)模式
D.Strategy(策略)模式
● 以下關于高級程序設計語言翻譯的敘述中,正確的是__(48)__。
(48)A.可以先進行語法分析,再進行詞法分析
B.在語法分析階段可以發現程序中的所有錯誤
C.語義分析階段的工作與目標機器的體系結構密切相關
D.目標代碼生成階段的工作與目標機器的體系結構密切相關
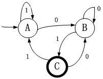
● 下圖所示為一個有限自動機(其中,A是初態、C是終態),該自動機可識別__(49)__。

(49)A.0000
B.1111
C.0101
D.1010
● 傳值與傳地址是函數調用時常采用的信息傳遞方式,__(50)__
(50)A.在傳值方式下,是將形參的值傳給實參
B.在傳值方式下,形參可以是任意形式的表達式
C.在傳地址方式下,是將實參的地址傳給形參
D.在傳地址方式下,實參可以是任意形式的表達式
● 某醫院數據庫的部分關系模式為:科室(科室號,科室名,負責人,電話)、病患(病歷號,姓名,住址,聯系電話)和職工(職工號,職工姓名,科室號,住址,聯系電話)。假設每個科室有一位負責人和一部電話,每個科室有若干名職工,一名職工只屬于一個科室;一個醫生可以為多個病患看病;一個病患可以由多個醫生多次診治。科室與職工的所屬聯系類型為__(51)__,病患與醫生的就診聯系類型為__(52)__。對于就診聯系最合理的設計是__(53)__,就診關系的主鍵是__(54)__。
(51)A.1:1
B.1:n
C.n:1
D.n:m
(52)A. 1:1
B. 1:n
C. n:1
D. n:m
(53)A.就診(病歷號,職工號,就診情況)
B.就診(病歷號,職工姓名,就診情況)
C.就診(病歷號,職工號,就診時間,就診情況)
D.就診(病歷號,職工姓名,就診時間,就診情況)
(54)A.病歷號,職工號 B.病歷號,職工號,就診時間
C.病歷號,職工姓名 D.病歷號,職工姓名,就診時間
● 給定關系模式R,U= {A,B,C},F={AB→C,C→B}。關系R__(55)__,且分別有__(56)__。
(55)A.只有1個候選關鍵字AC
B.只有1個候選關鍵字AB
C.有2個候選關鍵字AC和BC
D.有2個候選關鍵字AC和AB
(56)A.1個非主屬性和2個主屬性
B.2個非主屬性和1個主屬性
C.0個非主屬性和3個主屬性
D.3個非主屬性和O個主屬性
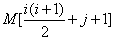
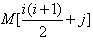
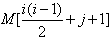
● 設下三角矩陣(上三角部分的元素值都為0)A[0..n,0..n]如下所示,將該三角矩陣的所有非零元素(即行下標不小于列下標的元素)按行優先壓縮存儲在容量足夠大的數組M[]中(下標從1開始),則元素A[i,j](O≤i≤n,j≤i)存儲在數組M的__(57)__中。

(57)A.
B.
C.
D.
● 對n個元素的有序表A[1..n]進行順序查找,其成功查找的平均查找長度(即在查找表中找到指定關鍵碼的元素時,所進行比較的表中元素個數的期望值)為__(58)__。
(58)A.n
B.(n+1)/2
C.log2 n
D.n2
● 在__(59)__中,任意一個結點的左、右子樹的高度之差的絕對值不超過1。
(59)A.完全二叉樹
B.二叉排序樹
C.線索二叉樹
D.最優二叉樹
● 設一個包含N個頂點、E條邊的簡單無向圖采用鄰接矩陣存儲結構(矩陣元素A[i][j]等于1/0分別表示頂點i與頂點j之間有/無邊),則該矩陣中的非零元素數目為__(60)__
(60)A.N
B.E
C.2E
D.N+E
● 對于關鍵字序列(26,25,72,38,8,18,59),采用散列函數H(Key)=Key mod 13構造散列表(哈希表)。若采用線性探測的開放定址法解決沖突(順序地探查可用存儲單元),則關鍵字59所在散列表中的地址為__(61)__。
(61)A.6
B.7
C.8
D.9
● 要在8*8的棋盤上擺放8個“皇后”,要求“皇后”之間不能發生沖突,即任何兩個“皇后”不能在同一行、同一列和相同的對角線上,則一般采用__(62)__來實現。
(62)A.分治法
B.動態規劃法
C.貪心法
D.回溯法
● 分治算法設計技術 __(63)__。
(63)A.一般由三個步驟組成:問題劃分、遞歸求解、合并解
B.一定是用遞歸技術來實現
C.將問題劃分為k個規模相等的子問題
D.劃分代價很小而合并代價很大
● 某算法的時間復雜度可用遞歸式
表示,若用
表示,則正確的是__(64)__

● 用插入排序和歸并排序算法對數組<3,1,4,1,5,9,6,5>進行從小到大排序,則分別需要進行__(65)__次數組元素之間的比較。
(65)A.12,14
B.10,14
C.12,16
D.10,16
● ARP協議屬于__(66)__協議,它的作用是__(67)__
(66)A.物理層
B.數據鏈路層
C.網絡層
D.傳輸層
(67)A.實現MAC地址與主機名之間的映射
B.實現IP地址與MAC地址之間的變換
C.實現IP地址與端口號之間的映射
D.實現應用進程與物理地址之間的變換
● 下面關于集線器與交換機的描述中,錯誤的是__(68)__。
(68)A.交換機是一種多端口網橋
B.交換機的各個端口形成一個廣播域
C.集線器的所有端口組成一個沖突域
D.集線器可以起到自動尋址的作用
● “三網合一”的三網是指__(69)__。
(69)A.電信網、廣播電視網、互聯網
B.物聯網、廣播電視網、電信網
C.物聯網、廣播電視網、互聯網
D.物聯網、電信網、互聯網
● 要使4個連續的C類網絡匯聚成一個超網,則子網掩碼應該為__(70)__。
(70)A.255.240.0.0
B.255.255. 0.0
C.255.255.252.0
D.255.255.255.252
● Ravi, like many project __(71)__ ,had studied the waterfall model of software development as the primary software life-cycle __(72)__.He was all set to use it for an upcoming project, his first assignment. However, Ravi found that the waterfall model could not be used because the customer wanted the software delivered in stages, something that implied that the system had to be delivered and built in __(73)__and not as__(74)__.
The situation in many other projects is not very different. The real world rarely presents a problem in which a standard process, or the process used in a previous project, is the best choice.To be the most suitable, an existing process must be__(75)__to the new problem.A development process, even after tailoring, generally cannot handle change requests.To accommodate change requests without losing control of the project, you must supplement the development process with a requirement change management process.
(71)A.customers
B.managers
C.users
D.administrators
(72)A.activity
B.procedure
C.process
D.progress
(73)A.parts
B.modules
C.software
D.a whole
(74)A.parts
B.modules
C.software
D.a whole
(75)A.modified
B.used
C.suited
軟考不知道考啥科目?掃碼測最適合你的報考科目

熱門活動:【免費考前摸底】軟考4月模考大賽![]()
軟考備考資料免費領取
去領取
專注在線職業教育25年