摘要:以下是由希賽網整理的2013年上半年數據庫系統工程師考試上午真題,希望對大家備考有所幫助。
以下是由希賽網整理的2013年上半年數據庫系統工程師考試上午真題,希望對大家備考有所幫助。
● 常用的虛擬存儲器由__(1)__兩級存儲器組成。
(1)A.主存-輔存
B.主存-網盤
C.Cache-主存
D.Cache-硬盤
● 中斷向量可提供__(2)__.
(2)A.I/O設備的端口地址
B.所傳送數據的起始地址
C.中斷服務程序的入口地址
D.主程序的斷點地址
● 為了便于實現多級中斷,使用__(3)__來保護斷點和現場最有效。
(3)A.ROM
B.中斷向量表
C.通用寄存器
D.堆棧
● DMA工作方式下,在__(4)__之間建立了直接的數據通路。
(4)A.CPU與外設
B.CPU與主存
C.主存與外設
D.外設與外設
● 地址編號從80000H到BFFFFH且按字節編址的內存容量為__(5)__KB,若用16K×4bit的存儲器芯片構成該內存,共需__(6)__。
(5)A.128
B.256
C.512
D.1024
(6)A.8
B.16
C.32
D.64
● 利用報文摘要算法生成報文摘要的目的是__(7)__。
(7)A.驗證通信對方的身份,防止假冒
B.對傳輸數據進行加密,防止數據被竊聽
C.防止發送方否認發送過的數據
D.防止發送的報文被篡改
● 防火墻通常分為內網、外網和DMZ三個區域,按照受保護程度,從高到低正確的排列次序為__(8)__
(8)A.內網、外網和DMZ
B.外網、內網和DMZ
C.DMZ、內網和外網
D.內網、DMZ和外網
● 近年來,在我國出現的各類病毒中,__(9)__病毒通過木馬形式感染智能手機。
(9)A.歡樂時光
B.熊貓燒香
C.X臥底
D.CIH
● 王某是一名軟件設計師,按公司規定編寫軟件文檔,并上交公司存檔。這些軟件文檔屬于職務作品,且__(10)__。
(10)A.其著作權由公司享有
B.其著作權由軟件設計師享有
C.除其署名權以外,著作權的其他權利由軟件設計師享有
D.其著作權由公司和軟件設計師共同享有
● 甲經銷商擅自復制并銷售乙公司開發的OA軟件光盤已構成侵權。丙企業在未知的情形下從甲經銷商處購入10張并已安裝使用。在丙企業知道了所使用的軟件為侵權復制品情形下,以下說法正確的是__(11)__。
(11)A.丙企業的使用行為侵權,須承擔賠償責任
B.丙企業的使用行為不侵權,可以繼續使用這10張軟件光盤
C.丙企業的使用行為侵權,支付合理費用后可以繼續使用這10張軟件光盤
D.丙企業的使用行為不侵權,不需承擔任何法律責任
● 聲音信號數字化過程中首先要進行__(12)__。
(12)A.解碼
B.D/A轉換
C.編碼
D.A/D轉換
● 以下關于DPI的敘述中,正確的是__(13)__。
(13)A.每英寸的bit數
B.存儲每個像素所用的位數
C.每英寸像素點
D.顯示屏上能夠顯示出的像素數
● 媒體可以分為感覺媒體、表示媒體、表現媒體、存儲媒體、傳輸媒體,__(14)__屬于表現媒體。
(14)A.打印機
B.硬盤
C.光纜
D.圖像
● “軟件產品必須能夠在3秒內對用戶請求作出響應”屬于軟件需求中的__(15)__。
(15)A.功能需求
B.非功能需求
C.設計約束
D.邏輯需求
● 統一過程模型是一種“用例和風險驅動,以架構為中心,迭代并且增量”的開發過程,定義了不同階段及其制品,其中精化階段關注__(16)__。
(16)A.項目的初創活動
B.需求分析和構架演進
C.系統的構建,產生實現模型
D.軟件提交方面的工作,產生軟件增量
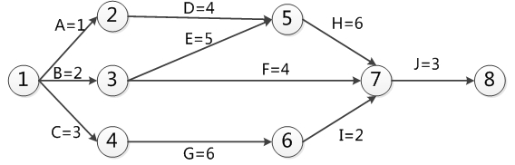
● 在進行進度安排時,PERT圖不能清晰地描述__(17)__,但可以給出哪些任務完成后才能開始另一些任務。某項目X包含任務A、B、……、J,其PERT如下圖所示(A=1表示任務A的持續時間是1天),則項目X的關鍵路徑是__(18)__。 
(17)A.每個任務從何時開始
B.每個任務到何時結束
C.各任務之間的并行情況
D.各任務之間的依賴關系
(18)A.A-D-H-J
B.B-E-H-J
C.B-F-J
D.C-G-I-J
● 項目為了修正一個錯誤而進行了修改。錯誤修正后,還需要進行__(19)__以發現這一修正是否引起原本正確運行的代碼出錯。
(19)A.單元測試
B.接受測試
C.安裝測試
D.回歸測試
● 以下關于解釋程序和編譯程序的敘述中,正確的是__(20)__。
(20)A.編譯程序和解釋程序都生成源程序的目標程序
B.編譯程序和解釋程序都不生成源程序的目標程序
C.編譯程序生成源程序的目標程序,解釋程序則不然
D.編譯程序不生成源程序的目標程序,而解釋程序反之
● 以下關于傳值調用與引用調用的敘述中,正確的是__(21)__。
①在傳值調用方式下,可以實現形參和實參間雙向傳遞數據的效果
②在傳值調用方式下,實參可以是變量,也可以是常量和表達式
③在引用調用方式下,可以實現形參和實參間雙向傳遞數據的效果
④在引用調用方式下,實參可以是變量,也可以是常量和表達式
(21)A.①③
B.①④
C.②③
D.②④
● 在對高級語言源程序進行編譯的過程中,為源程序中變量所分配的存儲單元的地址屬于__(22)__。
(22)A.邏輯地址
B.物理地址
C.接口地址
D.線性地址
● 假設某分時系統釆用簡單時間片輪轉法,當系統中的用戶數為n、時間片為q時, 系統對每個用戶的響應時間T=__(23)__。
(23)A.n
B.q
C.n x q
D.n + q
● 在支持多線程的操作系統中,假設進程P創建了若干個線程,那么__(24)__是不能被這些線程共享的。
(24)A.該進程的代碼段
B.該進程中打開的文件
C.該進程的局部變量
D.該進程中某線程的棧指針
● 進程資源圖(a)和(b)所示,其中:圖(a)中__(25)__;圖(b)中__(26)__。
(25)A.P1是非阻塞節點、P2是阻塞節點,所以該圖不可以化簡、是死鎖的
B.P1、P2都是阻塞節點,所以該圖不可以化簡、是死鎖的
C.P1、P2都是非阻塞節點,所以該圖可以化簡、是非死鎖的
D.P1是阻塞節點、P2是非阻塞節點,所以該圖不可以化簡、是死鎖的
(26)A.P1、P2、P3都是非阻塞節點,該圖可以化簡、是非死鎖的
B.P1、P2、P3都是阻塞節點,該圖不可以化簡、是死鎖的
C.P2是阻塞節點,P1,P3是非阻塞節點,該圖可以化簡、是非死鎖的
D.P1、P2是非阻塞節點,P3是阻塞節點,該圖不可以化簡、是死鎖的
● 假設內存管理釆用可變式分區分配方案,系統中有五個進程P1?P5,且某一時刻內存使用情況如下圖所示(圖中空白處表示未使用分區)。此時,若P5進程運行完 并釋放其占有的空間,則釋放后系統的空閑區數應__(27)__。
(27)A.保持不變
B.減1
C.加1
D.置零
● 在數據庫系統中,當視圖創建完畢后,數據字典中保存的是__(28)__。事實上,視圖是一個__(29)__。
(28)A.查詢語句
B.查詢結果
C.視圖定義
D.所有引用的基本表的定義
(29)A.真實存在的表,并保存了待查詢的數據
B.真實存在的表,只有部分數據來源于基本表
C.虛擬表,查詢時只能從一個基本表中導出的表
D.虛擬表,查詢時可以從一個或者多個基本表或視圖中導出的表
● 數據庫中數據的__(30)__是指數據庫正確性和相容性,以防止合法用戶向數據庫加入不符合語義的數據;__(31)__是指保護數據庫,以防止不合法的使用所造成的數據泄漏、更改或破壞;__(32)__是指在多用戶共享的系統中,保證數據庫的完整性不受破壞,避免用戶得到不正確的數據。
(30)A.安全性
B.可靠性
C.完整性
D.并發控制
(31)A.安全性
B.可靠性
C.完整性
D.并發控制
(32)A.安全性
B.可靠性
C.完整性
D.并發控制
● 關系R、S如下圖所示,關系代數表達式
=__(33)__,它與元組演算表達式{t|(∃u)(∃v)(R(u)∧S(v)∧__(34)__∧__(35)__}等價。
(33)A.
B.
C.
D.
(34)A.u[1]<v[2]
B.u[1]>v[2]
C.u[1]<v[5]
D.u[1]>v[5]
(35)A.t[1]=v[1]∧t[2]=u[5]∧t[3]=v[6]
B.t[1]=u[1]∧t[2]=u[2]∧t[3]=u[3]
C.t[1]=u[1]∧t[2]=v[2]∧t[3]=v[3]
D.t[1]=u[1]∧t[2]=v[2]∧t[3]=u[3]
軟考不知道考啥科目?掃碼測最適合你的報考科目

熱門活動:【免費考前摸底】軟考4月模考大賽![]()
軟考備考資料免費領取
去領取
專注在線職業教育25年