摘要:“信息系統管理工程師”是全國計算機技術與軟件專業技術資格考試(簡稱計算機軟件資格考試)中的一個中級資格考試,屬于中級職稱。以下是由希賽網整理的部分2014年上半年信息系統管理工程師考試上午真題,希望對大家有所幫助。
“信息系統管理工程師”是全國計算機技術與軟件專業技術資格考試(簡稱計算機軟件資格考試)中的一個中級資格考試,屬于中級職稱。以下是由希賽網整理的部分2014年上半年信息系統管理工程師考試上午真題,希望對大家有所幫助。
● 并行性是指計算機系統具有可以同時進行運算或操作的特性,它包含__(1)__
(1)A.同時性和并發性
B.同步性和異步性
C.同時性和同步性
D.并發性和異步性
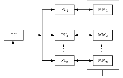
● 某計算機系統的機構如下圖所示,其中,Pui(i=1,……,n)為處理單元,CU為控制部件,MMj(j=1,……,n)為存儲部件。該計算機( ) 
(2)A.通過時間重疊實現并行性
B.通過資源重復實現并行性
C.通過資源共享實現并行性
D.通過精簡指令系統實現并行性
● 在高速緩沖存儲器(Cache)-主存層次結構中,地址映像以及和主存數據的交換由( )完成。
(3)A.硬件
B.中斷機構
C.軟件
D.程序計數器
● 計算機系統的內存儲器主要由( )構成。
(4)A.Flash存儲器
B.只讀存儲器
C.輔助存儲器
D.半導體存儲器
● ( )是指CPU一次可以處理的二進制數的位數,它直接關系到計算機的計算精度、速度等指標;運算速度是指計算機每秒能執行的指令條數,通常以( )為單位來描述。
(5)A.帶寬
B.主頻
C.字長
D.存儲容量
(6)A.MB
B.HZ
C.MIPS
D.BPS
● 與高級程序語言相比,用機器語言精心編寫的程序的特點是( )
(7)A.程序的執行效率低,編寫效率低,可讀性強
B.程序的執行效率低,編寫效率高,可讀性差
C.程序的執行效率高,編寫效率低,可讀性強
D.程序的執行效率高,編寫效率低,可讀性差
● 更適合于開發互聯網絡應用的程序設計語言是 __(8)__
(8)A.SQL
B.Java
C.Prolog
D.Fortran
● 編寫源程序時在其中增加注釋,是為了( )
(9)A.降低存儲空間的需求量
B.提高執行效率
C.推行程序設計的標準化
D.提高程序的可讀性
● ( )不屬于線性的數據結構。
(10)A.棧
B.廣義表
C.隊列
D.串
● 概括來說,算法是解決特定問題的方法,( )不屬于算法的5個特性之一。
(11)A.正確性
B.有窮性
C.確定性
D.可行性
● 關系模型是采用( )結構表達實體類型及實體間聯系的數據模型。在數據庫設計過程中,設計用戶外模式屬于( )
(12)A.樹型
B.網狀
C.線型
D.二維表格
(13)A.概念結構設計
B.物理設計
C.邏輯結構設計
D.數據庫實施
● 數據庫管理系統(DBMS)提供的數據定義語言的功能是( )。某單位開發的信息系統要求:員工職稱為“工程師”的月基本工資和獎金不能超過5000元;該要求可以通過( )約束條件來完成。
(14)A.實現對數據庫的檢索、插入、修改和刪除
B.描述數據庫的結構,為用戶建立數據庫提供手段
C.用于數據的安全性控制、完整性控制、并發控制和通信控制
D.提供數據初始裝入、數據轉儲、數據庫恢復、數據庫重新組織等手段
(15)A.用戶定義完整性
B.參照完整性
C.實體完整性
D.主鍵約束完整性
● 設有一個員工關系EMP(員工號,姓名,部門名,職位,薪資),若需查詢不同部門中擔任“項目主管”職位的員工平均薪資,則相應的SQL語句為: SELECT部門名,AVG(薪資) AS平均薪資 FROM EMP GROUP BY ( ) ( );
(16)A.員工號
B.姓名
C.部門名
D.薪資
(17)A.HAVING職位=‘項目主管’
B.HAVING‘職位=項目主管’
C.WHERE職位=‘項目主管’
D.WHERE‘職位=項目主管’
● 計算機病毒是一種( )
(18)A.軟件故障
B.硬件故障
C.程序
D.黑客
● 通過( )不能減少用戶計算機被攻擊的可能性。
(19)A.選用比較長和復雜的用戶登錄口令
B.使用防病毒軟件
C.盡量避免開放更多的網絡服務
D.定期使用硬盤碎片整理程序
● 計算機加電以后,首先應該將( )裝入內存并運行,否則,計算機不能做任何事情。
(20)A.操作系統
B.編譯程序
C.Office系列軟件
D.應用軟件
● 軟件開發過程中,常采用甘特(Gantt)圖描述進度安排。甘特圖以( )
(21)A.時間為橫坐標、人員為縱坐標
B.時間為橫坐標、任務為縱坐標
C.任務為橫坐標、人員為縱坐標
D.人數為橫坐標、時間為縱坐標
● ( )不屬于DFD(Data Flow Diagram,數據流圖)的要素。如果使用DFD對某企業的財務系統進行建模,那么該系統中( )可以被認定為外部實體。
(22)A.加工
B.聯系
C.數據流
D.數據存儲
(23)A.轉賬單
B.轉賬單輸入
C.接收轉賬單的銀行
D.財務系統源代碼程序
● 某軟件公司舉行程序設計競賽,軟件設計師甲、乙針對同一問題、按照規定的技術標準、采用相同的程序設計語言、利用相同的開發環境完成了程序設計。兩個程序相似,軟件設計師甲先提交,軟件設計師乙的構思優于甲。此情形下,( )享有軟件著作權。
(24)A.軟件設計師甲
B.軟件設計師甲、乙都
C.軟件設計師乙
D.軟件設計師甲、乙都不
● 在我國商標專用權保護對象是指( )
(25)A.商標
B.商品
C.已使用商標
D.注冊商標
希賽網,擁有十五年軟考培訓經驗,希賽網一直堅持自主研發,將豐富的軟考培訓經驗有效融入教程研發過程,自成體系的軟考在線題庫(軟考歷年真題)、軟考培訓教材和軟考視頻教程,多樣的培訓方式包括面授、和,使考生的學習更具系統性,輔導更具針對性。采用全程督學機制,。
軟考不知道考啥科目?掃碼測最適合你的報考科目

熱門活動:【免費考前摸底】軟考4月模考大賽![]()
軟考備考資料免費領取
去領取
專注在線職業教育25年