摘要:2018上半年系統分析師考試已經結束,相信大家都想知道考試內容有哪些?小編為大家整理了2018上半年系統分析師上午真題,以下為第五部分。
● 典型的事務服務器系統包括多個在共享內存中訪問數據的進程,其中( )監控其它進程,一旦進程失敗,它將為該失敗進程執行恢復動作,并重啟該進程。
(42)A.檢查點進程
B.數據庫寫進程
C.進程監控進程
D.鎖管理器進程
● 給定關系模式R<U,F>;其中U為屬性集,F是U上的一組函數依賴,那么Armstroog公理系統的增廣律是指( )。
(43)A.若X→Y,X→Z,則X→YZ為F所蘊酒
B.若X→Y,WY→Z,則XW→Z為F所蘊涵
C.若X→Y,Y→Z為F所蘊涵,則X→Z為F所蘊涵
D.若X→Y,為F所蘊涵,且Z⊆U,則入XZ→YZ為F所蘊涵
● 某集團公司下屬有多個超市,假設公司高管需要從時間、地區和商品種類三個維度來分析某電器商品銷售數據,那么應采用 ( )來完成。
(44)A.數據挖掘
B.OLAP
C. OLTP
D. ETL
● 若某企業信息系統的應用人員分為三類:錄入、處理和查詢,那么用戶權限管理的方案適合采用( )。
(45)A.針對所有人員建立用戶名并授權
B.建立用戶角色并授權
C.建立每類人員的視圖并授權給每個人
D.對關系進行分解,每類人員對應一組關系
● 采用微內核結構的操作系統設計的基本思想是內核只完成操作系統最基本的功能并在核心態下運行,其他功能運行在用戶志,其結構圖如下所示。圖中空(a)、(b)、(c)和(d)應分別選擇如下所示①~④中的哪一項? ( )。
①核心態 ②用戶態 ③文件和存儲器服務器④進程調度及進程問通信

(46)A.①、②、③和④
B. ④、③、②和①
C.③、④、②和①
D.③、①、④和②
● 在支持多線程的操作系統中,假設進程P創建了若干個線程,那么( )是不能被其他線程共享的。
(47)A.該進程的代碼段
B.該進程中打開的文件
C.該進程的全局變量
D.該進程中線程的棧指針
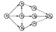
● 前趨圖是一個有向無環圖,記為:→=(Pi,Pj)|Pi完成時間先于Pj開始時間}。假設系統中進程P=(P1,P2, P3, P4, P5,P6, P7,P8}且進程的前趨圖如下:

那么,該前驅圖可記為( )。
(48)A.→={(P1,P2), (P1,P3), (P1,P4), (P2,P5),(P3,P2),(P3,P4),(P3,P6),(P4,P7),(P5,P8),(P5,P6),(P7,P8)}
B.→={(P1,P2), (P1,P3), (P1,P4), (P2,P5),(P3,P2),(P3,P4),(P3,P6),(P4,P7),(P5,P8),(P6,P8),(P7,P8)}
C.→={(P1,P2), (P1,P3), (P1,P4), (P2,P5),(P3,P2),(P3,P4),(P3,P5),(P4,P6),(P4,P7),(P6,P8),(P7,P8)}
D.→={(P1,P2), (P1,P3), (P1,P4), (P2,P5),(P3,P2),(P3,P4),(P3,P5),(P4,P6),(P4,P7),(P6,P8),(P7,P8)}
● 假設磁盤塊與緩沖區大小相同,每個盤塊讀入緩沖區的時間為16us, 由緩沖區送至用戶區的時間是5us,在用戶區內系統對每塊數據的處理時間為1us.若用戶需要將大小為10個磁盤塊的Doc1文件逐塊從磁盤讀入緩沖區,并送至用戶區進行處理,那么采用單緩沖區需要花費的時間為( )us: 采用雙緩沖區需要花費的時間為,( )us.
(49)A.160
B.161
C.166
D.211
(50)A.160
B.161
C.166
D.211
軟考備考資料免費領取
去領取
專注在線職業教育25年