摘要:希賽網軟考頻道小編為大家整理了2018下半年軟件設計師考試上午真題第二部分,供大家參考。
● 使用Web方式收發電子郵件時,以下描述錯誤的是( )。
(11)A.無須設置簡單郵件傳輸協議
B.可以不設置帳號密碼登錄
C.郵件可以插入多個附件
D.未發送郵件可以保存到草稿箱
● 有可能無限期擁有的知識產權是( )。
(12)A.著作權
B.專利權
C.商標權
D.集成電路布圖設計權
● ( )是構成我國保護計算機軟件著作權的兩個基本法律文件。
(13)A.《軟件法》和《計算機軟件保護條例》
B.《中華人民共和國著作權法》和《計算機軟件保護條例》
C.《軟件法》和《中華人民共和國著作權法》
D.《中華人民共和國版權法》和《計算機軟件保護條例》
●某軟件程序員接受一個公司(軟件著作權人)委托開發完成一個軟件,三個月后又接受另一公司委托開發功能類似的軟件,此程序員僅將受第一個公司委托開發的軟件略作修改即提交給第二家公司,此種行為( )。
(14)A.屬于開發者的特權
B.屬于正常使用著作權
C.不構成侵權
D.構成侵權
● 結構化分析的輸出不包括( )。
(15)A.數據流圖
B.數據字典
C.加工邏輯
D.結構圖
●某航空公司擬開發一個機票預訂系統, 旅客預訂機票時使用信用卡付款。付款通過信用卡公司的信用卡管理系統提供的接口實現。若采用數據流圖建立需求模型,則信用卡管理系統是( )。
(16)A.外部實體
B.加工
C.數據流
D.數據存儲
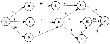
●某軟件項目的活動圖如下圖所示,其中頂點表示項目里程碑,連接頂點的邊表示包含的活動,邊上的數字表示活動的持續時間(天),則完成該項目的最少時間為( )天。活動FG的松馳時間為( )天。

(17)A.20
B.37
C.38
D.46
(18)A.9
B.10
C.18
D.26
●以下敘述中,( )不是一個風險。
(19)A.由另一個小組開發的子系統可能推遲交付,導致系統不能按時交付客戶
B.客戶不清楚想要開發什么樣的軟件,因此開發小組開發原型幫助其確定需求
C.開發團隊可能沒有正確理解客戶的需求
D.開發團隊核心成員可能在系統開發過程中離職
●對布爾表達式進行短路求值是指:無須對表達式中所有操作數或運算符進行計算就可確定表達式的值。對于表達式"a or ((c< d) and b)”,( )時可進行短路計算。
(20)A. d為true
B. a為true
C. b為true
D. c為true
相關推薦:2018下半年軟件設計師真題匯總
軟考備考資料免費領取
去領取
專注在線職業教育25年