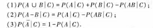
題目內容
(請給出正確答案)
[主觀題]
設A,B,C為三個事件,證明:P(A∪B∪C)=P(A)+P(B)+P(C)-P(AB)-P(AC)-P(BC)+P(ABC)。
設A,B,C為三個事件,證明:P(A∪B∪C)=P(A)+P(B)+P(C)-P(AB)-P(AC)-P(BC)+P(ABC)。
答案
查看答案
題目內容
(請給出正確答案)
答案
更多“設A,B,C為三個事件,證明:P(A∪B∪C)=P(A)+P(B)+P(C)-P(AB)-P(AC)-P(BC)+P(ABC)。”相關的問題
第5題
A.AB+AC+BC
B.A+B+C
C.1.jpg)
D.2.jpg)