題目內容
(請給出正確答案)
[單選題]
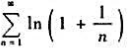
下列級數中,發散的是()。
A.1.jpg)
B.2.jpg)
C.3.jpg)
D.4.jpg)
答案
查看答案
題目內容
(請給出正確答案)
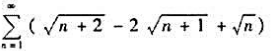
A.1.jpg)
B.2.jpg)
C.3.jpg)
D.4.jpg)
答案
更多“下列級數中,發散的是()。A.B.C.D.”相關的問題
第2題
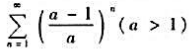
下列結論中正確的是().A.a>1時,級數收斂
B.a<1時,級數發散
C.a=1時,級數收斂
D.a=1時,級數發散