摘要:下面是由希賽小編整理的中級通信設備環境知識點精講之交流低壓配電系統,希望能幫助學友們。具體內容如下
下面是由希賽小編整理的中級通信設備環境知識點精講之交流低壓配電系統,希望能幫助學友們。具體內容如下:
交流低壓配電系統
1.低壓配電系統概述
由市電或備用發電機組(含移動電站)提供的低壓交流電為通信周(站)用的交流基礎電源,對其供電質量有如下的基本要求。
(1)低壓交流電的標稱電壓為220/380V,三相五線,頻率50Hz。
(2)使用交流電的通信設備和電源設備對供電電壓規定如下。
通信設備用交流市電供電時,在通信設備的電源輸入端子處測a的電壓允許變動范圍為:額定電壓值的+5%10%。
通信電源設備及重要建筑用電設備用交流市電供電時,在設備的電源輸入端子處測量的電壓允許變動范圍為:額定電壓值的+10-15%。當采用油機供電時,受電端子上電壓允許變動范圍為:額定電壓值的+5%?-5%。
(3)當市電供電電壓不能滿足上述規定或對通信設備有更髙要求時,應采用調壓或穩壓設備滿足電壓允許變動范圍的要求。
(4)交流市電的頻率允許變動范圍為額定值的±4%,油機電的頻率允許變動范圍為額定值的±2%;電壓波形正弦畸變率應>5%,三相供電電壓不平衡度≤4%。
(5)通信局(站)應根據要求安裝無功功率補償裝置。由市電供電時,對于lOOkVA以下的供電系統,功率因數要求≥0.85對于lOOkVA以上的供電系統,功率因數要求≥0.9。由油機電供電時,功率因數應達到0.8。
交流低壓系統包括低壓市電電源、油機發電機供給的自備交流電源以及由整流器、逆變器和蓄電池組成的交流不停電電源。
通信局(站)根據市電供電方式的類別,配有相應臺數的油機發電機組。當市電屮斷后,油機發電機將人工或自動啟動。市電和油機發電機的轉換由低壓交流配電屏或專門設置的市電油機轉換屏完成。對于不允許供電中斷的交流用電設備可用交流不間斷電源系統供電。交流不間斷電源系統一般都由蓄電池、整流器、逆變器和靜態開關等部分組成。市電正常時,市電經整流和逆變后,給通信設備供電,此時,蓄電池處于浮充狀態。市電中斷時,蓄電池通過逆變器(DC/AC變換器)給通信設備供電。逆變器和市電的轉換由交流靜態開關完成。
交流低壓配電屏是交流低壓系統主要的配電設備。交流低壓配電屏為各路交流負載分配電能,當市電中斷或交流電壓異常時,如過壓、欠壓和缺相等,低壓配電屏能夠自動發出相應的告警信號。
根據YD/T1051-2000《通信局(站)電源系統總技術要求》,低壓配電設備的可靠性指標如下:

2.常用低壓電器及設備
較大容量的通信局(站)設置低壓配電房用來接受與分配低壓市電和備用油機發電機電源。低壓配電系統中的電氣設備包括低壓交流配電屏、交流穩壓器、電容補償柜、油機發電機組控制屏、市電油機轉換屏等設備。
低壓電器是低壓配電設備或裝置的重要組成部分。低壓電器是指用于額定電壓交流
1200V或直流1500V及以下,在供電系統中起控制、保護、測量、轉換和調節作用的電器。按低壓電器在電路中所處的地位和作用,可將低壓電器分為主電路開關電器、輔助電路幵關電器和控制電器。其中主電路開關電器包括隔離器、刀開關、熔斷器、斷路器、接觸器等,而輔助電路開關電器和控制電器包括控制繼電器等。
(1)交流低壓配電屏
低壓配電屏主要用來進行受電、計量、控制、功率因數補償、動力饋電、照明饋電等,主要產品有PGL、GCS、GCK、GCL及GGD等系列開關柜,以及國外引進產品和合資生產的低壓開關柜-近年來配電行業已通過統一標準,統一頒發型號和組織統一設計等辦法,使低壓配電產品組織系統化、科學化而便于用戶選用。
主要用于直流供電系統的交流配電屏電流系列有:50A、100A、200A、400A、630A、800A、1000A、1600A等,其主要技術要求如下:
①輸入交流單相三線220V,50Hz或三相五線380V,50Hz;用作交流電源的轉換和配電用。
②對交流電源有自動轉換要求的電路必須有可靠的電氣聯鎖和機械聯鎖。
③對有照明分路的配電屏應有保證交流照明分路和直流事故照明自動轉換裝置和分路。
④應有高壓、低壓、缺相告警功能和過流、防雷保護單元。
(2)油機發電機組控制屏及ATS
發電機組控制屏一般是由油機發電機組廠商配套提供。而ATS(即雙電源自動切換裝置,通常與低壓開關柜安裝在一起)R前普遍采用芯片程序控制,一般可實現兩路市電或一路市電與發電機電源的自動切換,且切換延時可調,同時有多種工作模式可供選擇(如自動模式、正常供電模式、應急供電模式、關斷模式等)。
(3)交流穩壓器
用于改善供電質量的交流穩壓設備的性能指標可概括為以下3個方面:對電網的適應能力,即所配置的交流穩壓設備必須在當地電網條件下能正常運行,并且不會對電網產生不良影響:滿足負載要求;輸出能力與可靠性。選配交流穩壓器時,不僅要全面改善供電質量,還要注意以下兩點:一是要適合當地電網環境,不對電網產生干擾和破壞;二是要有很強的輸出能力和可靠性,特別是大功率交流穩壓器,應該使其接近實際電網的供電能力。
根據穩壓原理的不同,交流穩壓器可分為:參數穩壓型、自耦(變比)調壓型和大功率補償型3大類。
①參數穩壓型。參數穩壓就是利用非線性元件對電路中電壓和電流進行調整,從而穩定輸出電壓。這種非線性特性可以由不可控的非線性元件(如電感L、飽和電抗器LS、電容C)和電路環節(如LC串聯諧振環節、LC并聯諧振環、LS和C并聯環節等)來實現,也可以由可控的電路環節來實現,例如,由晶閘管與非線性元件串聯或并聯,并通過控制晶閘管導通角來改變等效的非線性參數。
②自耦(變比)調壓型。這類交流穩壓電源是用自耦變壓(調壓)器實現穩壓功能,常見的有機械調壓型和改變抽頭型。
?機械調壓型:伺服電機帶動炭刷在自耦變壓器繞組滑面上移動,改變輸出認對輸入t/i的比值,從而自動實現輸出電壓的調整和穩壓??衫秒娮与娐泛臀㈦姍C將“節動”調壓變為“自動”調壓,也就是所謂的“全自動交流穩壓器”.
?改變抽頭型:通過改變變壓器的初級(或次級)抽頭,即改變輸出U.與輸入l/i的比值。將自耦變壓器引出多個固定抽頭,用繼電器或雙向晶閘管(固態繼電器)、做開關器件自動改變抽頭位置,從而實現輸出電壓穩定…
③大功率補償型。把線性變壓器串聯在輸入端和輸出端的主電路中,控制該變壓器初級電壓的大小和極性,利用其次級電壓對輸入電壓進行補償,以實現輸出電壓的穩定和調整,
這就構成了補償型交流穩壓器。改變補償變壓器的初次級電壓的方式有多種,最常用的有3種:滑動調壓型、感應調壓型和無觸點智能調壓補償型。
(4)功率因數補償及電容補償柜
為了提高電力系統發電設備利用率和輸送能力及降低輸配電線路中無功功率的損耗,規定?!盁o功電力應就地平衡。用戶應在提高用電自然功率因數的基礎上,設計和裝置無功補償設備,并做到隨其負荷和電壓變動及時投入或切除,防止無功電力倒送?!?/p>
為了降低無功功率消耗,提高自然功率因數,通常采用下列措施。
①正確選擇變壓器容量,提高變壓器的負荷率,一般變壓器的負荷率在75%?80%比較合適。變壓器負荷率越低,功率因數越差;合理選擇電動機等設備,使其接近滿載運行。
②對于感性線性負載電路,采用并聯電容器來補償無功功率,便可提高功率因數(cos盧);對于非線性負載電路,如整流設備等設備,則可通過功率因數校正電路來提髙設備的總功率因數。
在線性電路中,電壓與電流均為正弦波,只存在電壓與電流的相位差,所以功率因數是電流與電壓相角差的余弦,稱為相移功率因數,即

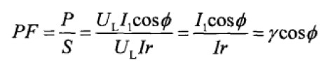
在非線性電路中(如幵關型整流器),交流電壓為正弦波形,電流波形卻為畸變的非正弦波形,同時與正弦波的電壓存在相位差。此時全功率因數為

式中,P是有功功率;S是視在功率;Ut是電網電壓:I1是基波電流有效值;COS盧是位移因素:It是電網電流有效值;r稱為失真功率因數,也稱電流畸變因子,它是電流基波有效值與總有效電流值之比。從公式中可以看出,電路的全功率因數為相移功率因數cos冉失真功率因數r兩項的乘積。
根據在LC電路中,電感i和電容C上的電流在任何時間都是反相的,相互間進行著周期性的能量交換的特性,采用在線性負載電路上并聯電容來作無功補償,使感性負載所需的無功電流由容性負載儲存的電能來補償,從而減少了無功電流在電網上的傳輸衰耗,達到提高功率因數的目的。
并聯電容器通常采用△形接線,目的是為了防止-相電容斷開造成該相功率因數得不到補償,同時,根據電容補償容量和加載其上的電壓的平方成正比的關系,同樣的電容A形接線能補償的無用功更多。并聯電容器在局(站)變電所供電系統可裝設在高壓開關拒或低壓配電屏或用電設備端,分別稱為高壓集中補償,低壓成組補償或低壓分散補償。目前在通信企業中絕大多數采用了低壓成組補償方式,即在低壓配電屏中專門設置配套的功率因數補償柜。
(5)低壓斷路器
低壓斷進器(以前也稱為自動開關)是一種不僅能接通和分斷電路中的正常負載電流、電動機的工作電流和過載電流,而且可以接通和分斷短路電流的開關電器。斷路器在電路中不僅可以起到短路和過載保護作用,還可以起到欠壓保護和遠距離分斷電源的作用。另外,斷路器也可以作為電動機的不頻繁啟動和轉換電路用。
低壓斷路器的分類如下。
①按斷路器的滅弧介質可分為空氣斷路器和真空斷路器兩種,國產低壓斷路器多為空氣斷路器。
②按斷路器在電路中的用途分可分為配電用斷路器、電動機保護用斷路器、照明用斷路器、漏電保護用斷路器以及特殊用途斷路器等。
③按斷路器的使用類別可分為非選擇型和選擇型。非選擇型斷路器在短路條件下,對其中接在下一級的短路保護電器,不一定具有選擇性保護,無人為的短延時,因此也沒有短時耐受電流要求;選抒型斷路器在短路條件下,對其串接在下一級的短路保護電器,具備選擇性保護性能,也就是可調整的人為的短延時,因此有短時酎受電流的要求。
④按斷路器的結構形式可分為常用式(以前曾稱為框架式)和塑殼式(以前曾稱為裝S式〉,這兩類低壓斷路器目前使用較為普遍,典型產品有塑料外殼式(DZltlS)和常用式(DWI0型)兩類,它們均由觸頭系統、滅弧裝置、傳動機構、自由脫扣機構及各種脫扣器等部分組成。目前塑料外殼式的改進產品有AM,型及H型等,常用式改進產品有DWI5、DWXI5、DW40>3WE及ME、AH等。隨著斷路器技術的發展,塑殼式與常用式的區別正在縮小。
(6)低壓刀開關
刀開關是低壓電器中結構最簡笮的一種,廣泛應用于各種配電設備和供電線路中。刀開關用途有:用在不分斷電流或各極的動靜觸頭間不出現明顯電壓的條件下,接通或分斷電路;當負載電流較小時,也可用作照明設備和小容量電動機,在不頻率操作時的電源開關:當能滿足隔離功能的要求時,也可用作隔離電源。
低壓刀開關的類型很多,按極數分有單極、雙極和三極;按結構分有平板式和條架式;按操作方式分有直接手柄操作、正而旋轉手柄操作、杠桿操作和電動機操作等。低壓刀開關根據其工作原理、使用條件和結構形式的不同,可分為開啟式負荷開關(H1、HK2、TSW系列等)、封閉式負荷開關(HH3、HH4系列等)、隔離刀開關(HS13、HD11系列等)、熔斷器式刀開關(HR3系列等)和組合開關(HZ10系列等)。
(7)熔斷器
熔斷器是低壓配電和電控設備中的重要保護元件。起短路保護作用。熔斷器串聯在電路中,在電路發生短路或嚴重過載時,熔體自行熔斷,從而切斷故障電路,起到保護電路作用。熔斷器的上下級配合或與其他電器配合使用,可在一定的短路電流范圍內滿足選擇性保護要求。
低壓熔斷器種類很多,按結構形式可分為:半封閉插入式熔斷器、無填料密閉管式熔斷器和有填料密閉管式熔斷器。目前的典型產品有RT0、RT10、RT11系列有填料封閉管式熔斷器,RM7、RM10系列無填料封閉管式熔斷器,RL6、RL7系列螺旋式熔斷器,PZ1-100、QSA、NT系列熔斷器以及引進的aM、gM系列熔斷器。
熔斷器的結構。熔斷器一般由熔斷體和底座(螺栓連接無底座)構成,熔斷體由熔體、熔管、觸刀等組成。有填料熔斷器一般用石英砂作填料,工業用熔斷器用銅片作熔體材料,半導體保護用烙斷器用銀片作熔體材料,特大電流常用2?3個單體組合成組合型冇填料熔斷器。無填料密封管式熔斷器用鋅片作熔體材料,且熔體可更換。
熔斷器的技術參數。熔斷器的主要技術參數有:額定工作電壓、額定電流和斷流能力?額定工作電壓是從滅弧角度提出的,當熔管的工作電壓大于額定電壓、熔體熔斷時,可能出現電弧不能熄滅的危險。熔管的額定電流是由熔管長期工作所允許溫升決定的電流值。所以熔管中可裝入不同等級額定電流的熔體,但所裝入熔體的額定電流不能大于熔管的額定電流值。斷流能力是表示熔管在額定電壓下斷幵電路故障時所能切斷的最大電流值。
選用熔斷器的原則如下。
①根據用電網絡電壓選用相應電壓等級的熔斷器:根據配電系統可能出現的最大故陣電流,選用具有相應分斷能力的熔斷器。
②在配電系統中,各級熔斷器應互相R合以實現選擇型。一般要求前級熔體比后?級熔體的額定電流大2-3級,以發生越級動作而擴大故障停電范圍。
③在電動機回路中用作短路保護時,為避免館體在電動機0動過程中熔斷,對于單臺電動機,熔體額定電流≥(1.5-2.5)x電機額定電流:對于多臺電動機,總熔體額定電流≥(1.5-2.5)x容量最大一臺電動機的額定電流+其余電動機的計算負荷電流。
④對電爐及照明等負載的短路保護,熔體的額定電流等于或稍大于負載的額定電流。
熔斷器的操作使用注意事項。
①熔斷器及炫體必須安裝可靠,防止某相斷開。
②熔斷器周圍介質溫度與被保護對象的周圍介質溫度基本一致,防止保護動作產生誤差,平時應經常清除熔斷器表面積有的塵埃。
③拆換熔斷器時,應使用同一型號規格的熔斷器,不允許用其他型號規格這斷器代用,更不允許用金屬導線代替熔斷器接通電器。
④采用熔斷器保護線路時,熔斷器應裝在各相線上;在二相三線或三相四線回路的中性線上嚴禁裝熔斷器,這是因為中性線斷開可能會引起各相電壓不平衡,從而造成設備燒毀事故;在公共電網供電的單相線路的中性線上應裝熔斷器。
(8)接觸器
接觸器是自動控制系統和電力拖動中應用十分廣泛的-種開關電器。接觸器應用電磁原理或氣動原理通過控制回路的通斷來對主電路的分合進行控制。接觸器作為執行元件,可以遠距離頻繁地自動控制電動機的啟動、停止、運轉和反向。
接觸器的分類。按接觸器的操動方式分為電磁接觸器、氣動接觸器和電磁氣動接觸器:按接觸器所控制的電流種類分為交流接觸器和直流接觸器:按接觸器的滅弧介質分為空氣式接觸器、油浸式接觸器和真空接觸器等。
接觸器的結構。接觸器主要由電磁系統、觸頭系統、滅弧系統、輔助觸尖、外殼與支持部分等組成。
工作在不同負載下的接觸器。其選用條件有很大的差別。就接觸器本身來講,主要選用的是型式、主電路、輔助電路參數和控制電路參數等。在接觸器產品中,交流接觸器主要有CJ8、CJ10、CJ12、CJ20系列,H流接觸器主要有CZo系列。
相關推薦:
通信工程師備考資料免費領取
去領取
專注在線職業教育25年