摘要:下面是由希賽小編整理的中級通信設備環境知識點精講之鉛酸蓄電池的主要工作特性,希望能幫助學友們。具體內容如下
下面是由希賽小編整理的中級通信設備環境知識點精講之鉛酸蓄電池的主要工作特性,希望能幫助學友們。具體內容如下:
鉛酸蓄電池的主要工作特性
1.鉛蓄電池的電壓工作特性
(1)端電壓與電動勢
電池在開路情況下,用高阻抗電壓表在常溫下測得的正負極板間的電位差,稱為鉛蓄電池的電動勢。也就是說在蓄電池中電能與化學能轉換達到平衡時,正極的平衡電極電勢與負極平衡電極電勢的差值便是電池電動勢,它在數值上等于達到穩定值時的開路電壓。
電池電動勢與開路電壓意義是不同的。電動勢可依據電池中的反應,利用熱力學計算或通過測量計算,有明確的物理意義;后者只在數字上接近電動勢,需視電池的可逆程度而定。在蓄電池電極材料確定后,電動勢可用下面經驗公式決定:

d15為15℃時極板微孔內部電解液的密度。蓄電池靜止時,極板微孔內部與容器中的電解液密度相同。只有d15在1.05-1.30范圍內,上式才準確。
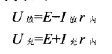
鉛蓄電池與外電路聯接并有電流流過時,在正負極兩端測得的電壓,稱為端電壓。充放電過程中,由于電流方向不同,蓄電池內阻(r)壓降的方向也不同。放電時,端電壓低于電動勢。充電時,端電壓高于電動勢。其關系如下:

(2)充電特性曲線
用一定的電流對鉛蓄電池充電時,電池端電壓的變化曲線稱為充電特性曲線,如圖4-1所示。充電初期,充電電流主要用于極板活性物質的恢復。蓄電池的端電壓上升很快(曲線oa段)充電中期,充電電流仍用于活性物質的恢復。蓄電池的端電壓在較長時間內緩慢上升(曲線ad段)。充電末期,充電電流主要用于分解水。蓄電池的端電壓迅速升高到2.6V左右(曲線bc段)。此后,充電電流幾乎完全用于分解水,電極上氣泡釋出己趨近飽和。因此,端電壓穩定在2.6-2.7V左右(曲線cd段),此時電池充電終了。
當停止充電后,由于內阻壓降消失,同時,蓄電池內各部分硫酸濃度趨于一致,蓄電池電動勢穩定在2.06-2.07V或2.13-2.15V(移動型)(曲線de辦段)。
鉛蓄電池充電過程中的端電壓和充電終了的端電壓與充電電流有關。若充電電流小,則內阻壓降(I充r內)小,因此充電過程中的端電壓與充電終了電壓亦略低,反之,則略高。
(3)放電特性曲線
充足電的鉛蓄電池以一定的電流放電時,端電壓的變化曲線稱為放電特性曲線,如圖4-2所示。

放電初期(曲線oa段),蓄電池端電壓下降很快。放電中期(曲線ab段),蓄電池端電壓下降很緩慢。放電末期(曲線bc段),端電壓又下降很快。蓄電池端電壓下降到1.8V時,即放電終了,應立即停止放電。這時,蓄電池電動勢立刻上升至2V左右(曲線從段)。
曲線中的c點為端電壓急劇下降的臨界點。端電壓降到1.8V(即降到c點)時,不立即停止放電,會導致極板硫化,縮短蓄電池的壽命。
2.鉛蓄電池的容量工作特性
(1)鉛蓄電池的容量及其影響因素
鉛蓄電池的容量,標志著儲存電量的多少,一般用安時(Ah)表示,即與電池的放電電流和放電時間有關。
鉛蓄電池的容量
額定容量:在規定的工作條件下,蓄電池能放出的最低電量稱為額定容量。固定型鉛蓄電池規定的工作條件為:10小時率電流放電,電解液溫度為25℃,放電終了電壓為1.8V。
實際容量:在的放電電流、電解液溫度和放電終了電壓等條件下,蓄電池實際上放出的電量稱為實際容量。
蓄電池以恒定電流放電時,實際容量(Q實)等于放電電流(I放)和放電時間(t放)的乘積。
影響電池容量的因素
鉛蓄電池容量主要由極板上能夠參加化學反應的活性物質的數a決定。但對使用者而言,影響蓄電池容量的主要因素是放電電流、電解液的溫度和濃度。同一鉛蓄電池在不同放電率下,放出的容量不同。放電率越高,放電電流越大,蓄電池放出的容量越小;反之,則放出的容量就大。為避免蓄電池深度放電,放電率低于正常放電率時,要適當提高放電終了電壓。
電解液的溫度在-15C-45℃的范圍內,溫度越高,蓄電池的容量越大。常溫下使用的蓄電池,一般以25℃為標準計算容量。在l0℃-35℃范圍內,溫度每升髙或降低一度,蓄電池的容量就約增大或減小額定容量的0.008倍。
電解液必須有一定的濃度,才能保證電化學反應的需要。電解液還必須具有最小的電阻和最快的擴散速度,才能使蓄電池有足夠大的容量。電解液濃度適當時,15℃時電解液密度應在1.20-1.30范圍內,若高于1.30,電解液對極板和隔板的腐蝕作用增大,會使蓄電池的容量下降,壽命縮短。
(2)充電率和放電率
①充電率。鉛蓄電池充電到終了電壓的速度稱為充電率,用時間表示。通常以10小時率作為正常充電率,充電電流為蓄電池額定容量除以10h.例如,蓄電池的額定容量為300Ah,10小時率充電電流為:

充電率對鉛蓄電池的端電壓影響很大。充電率高,即充電電流大,鉛蓄電池的端電壓上升的速度很快,充電終了電壓較高;反之,端電壓上升速度慢,充電終了電壓較低。因此,充電終了電壓并不是固定的,而是隨充電率而變的。
②放電率。鉛蓄電池放電到終了電壓的速度稱為蓄電池的放電率,通常以時間表示。例如,額定容量為300Ah的鉛蓄電池,限定用10h將其容量放完,這種放電速率就稱為10小時率,放電電流稱為10小時率電流,其數值是額定容量除以10h,即

放電率越高,即放電電流越大,蓄電池端電壓下降的速度越快。但端電壓迅速下降并不表示蓄電池的容量已經放完,因為此時只有極板表面的活性物質發生了化學反應,極板深處大量的活性物質還沒有發生反應,還有容量可放出,所以大電流放電時,放電終了電壓要低一些。
放電率低,即放電電流小,蓄電池端電壓下降的速度慢。如不提高放電終了電壓,就會使放出的容量超過額定容量,造成深度放電,導致極板硫化,甚至彎曲、斷裂。
通常把10小時率作為蓄電池的正常放電率。蓄電池的額定容量就是指蓄電池在10小時率放電時所能放出的容量。依據IEC標準,放電時間率有20、10、5、3、1、0.5小時率及分鐘率,分別表示為:20Hr、10Hr、5Hr、3Hr、2Hr、lHr、0.5Hr等。放電電流率是為了比較標稱容量不同的蓄電池放電電流大小而設立的,通常以10小時率電流為標準,用ID表示,3小時率及1小時率放電電流則分別以I3、I1表示。
(3)鉛蓄電池的自放電
在外電路斷開時,鉛蓄電池容量自然損失的現象稱為自放電。鉛蓄電池的自放電現象主要是由電池內部的局部放電引起的,電解液溫度、濃度偏高或有害雜質較多是影響鉛蓄電池I通信專業實務一設備環境的自放電的主要因素。
(4)鉛蓄電池的使用壽命和效率
鉛蓄電池使用中,由于活性物質脫落、硫化以及隔板腐蝕等原因,容量將逐漸降低。容量降低到額定容量的70%-80%后,就認為壽命結束了。當采用浮充運行方式、維護較好時,可延長鉛蓄電池的使用壽命。
鉛蓄電池的效率通常分為容量效率和電能效率。容量效率是放出的容量與充入的容量之比,也就是放電時間與放電電流乘積和充電電流與充電時間乘積之比。電能效率是放電時輸出電能與充入的電能之比,也就是放電電流、平均放電電壓及放電時間的乘積與充電電流、平均充電電壓和充電時間乘積之比。
相關推薦:
通信工程師備考資料免費領取
去領取
專注在線職業教育25年