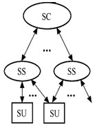
摘要:設備環境考試電源監控系統的傳輸與組網:PSMS(動力設備及環境集中監控系統),系統的基本組成環節包括端局采集設備、傳輸網絡和中心管理設備采用三級結構SC、SS、SU:較高一層稱為一級監控中心SC(Supervision Center),SC是樞紐中心。
1、電源監控系統的傳輸與組網
總體結構:
PSMS(動力設備及環境集中監控系統),系統的基本組成環節包括端局采集設備、傳輸網絡和中心管理設備采用三級結構SC、SS、SU:較高一層稱為一級監控中心SC(Supervision Center),SC是樞紐中心。第二層稱為二級監控站(SS:Supervision Station),SS它們的監控范圍是各自工作區域系統監控到的動力設備及環境;第三層稱為三級監控端局SU(Supervision Unit),SU大部分設置在各個端局,它們的監控范圍是各自系統能監控到的動力設備及環境,三級結構中,屬于管理層的是SC和SS
PSMS的拓撲結構如下圖所示:

返回目錄:
通信工程師備考資料免費領取
去領取
專注在線職業教育25年