摘要:通信工程師設備環境16QAM仿真結果分析:用均勻隨機數發生器產生對應于16種可能的由 b1,b2,b3,b4 4比特星座圖成的信息符號序列。
4.4.2 16QAM仿真結果分析
用均勻隨機數發生器產生對應于16種可能的由 b1,b2,b3,b4 4比特星座圖成的信息符號序列。將這個信息符號映射到對應的信號點,它們具有坐標 Amc,Ams 。用兩個高斯隨機數發生器產生噪聲分量 nc,ns 。為方便計,信道相移f置為0。這樣,接收到的信號加噪聲向量是r= Amc+nc,Ams+ns ,檢測器計算距離測度,并用最接近接收信號向量的信號點作出判定。差錯計數器對檢測序列中的符號差錯計數。圖4-4給出的是在不同的SNR參數值下,傳輸N=10000個符號的仿真結果。


實際上數字微波信道是由微波設備與復用設備之間的基帶傳輸信道和高頻信道兩部分星座圖成,因此對復用設備而言,數字微波信道的頻帶利用率是這兩部分共同作用的結果。一般基帶信號往往用電纜傳輸,當信道的傳輸特性具有理想低通濾波器特性時,對傳輸二進制基帶碼的基帶傳輸信道,其頻帶利用率理想值為2 bit/(s-Hz)。當基帶傳輸來的信道碼對載波調相后,已調波為雙邊帶信號,傳輸特性為帶通型.對二進制相移鍵控調制方式,其信道頻帶利用率為12 bit/(s?Hz),這意味著在單位頻帶,單位時間內高頻信道可達到的傳輸速率是基帶信道的一半。其中,QPSK和QAM的基帶傳輸信道頻帶利用率同為2 bit/(s-Hz),高頻信道的頻帶利用率QPSK為1,16QAM為2。在數字微波通信系統中常用比特誤碼率來表示誤碼性能,記作ebP或BER。在誤碼率相同的條件下,QPSK所要求的歸一化信噪比比QAM的要低。從兩種調制方式比較,各有以下特點和不同之處:
(1)QPSK為恒包絡信號,因此,它的星點均在一個同心圓上,而MQAM則為方行(也有其他行,但并非圓行)。因此,前者信息只載荷到載波的相位上,而MQAM則為幅相調制,由幅度和相位共同載荷一個符號信息,它的已調波當M>4時不是等幅包絡。
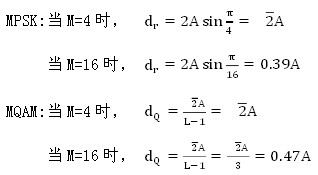
(2)MQAM(當M>4)抗干擾能力優于MPSK信號。從M=16時兩種調制方式的星座圖可以計算出來,相鄰最近星點的歐式距離為

結果表明,當M>4時,如M=16,QAM系統的鄰近星點距離較16PSK系統大2A,因此它比同樣M時的MPSK抗干擾性強。
(1)由上式可以看出,QPSK星座圖上相鄰最近星點的歐氏距離為,大于16QAM的0.47A,所以其判斷域大,故此判錯的概率很小,所以QPSK的誤碼率比16QAM的誤碼率低。
(2)由于MPSK是以M來等分2π作為已調波相位,當M值大時,各信號狀間非但不正交,而且2p/M的相鄰信號的相位差也太小,因此對干擾顯得很脆弱。它只適于M≤16的應用。一般常用QPSK,有時用8PSK。
返回目錄:
編輯推薦:
通信工程師備考資料免費領取
去領取
專注在線職業教育25年