摘要:終端與業務二進制頻移鍵控信號(2FSK):頻移鍵控是用不同頻率的載波來攜帶二進制信息的調制方式,2FSK頻移鍵控信號的輸出波形如圖3-1表示。二進制頻移鍵控是用兩個不同頻率的載波來代表數字信號的兩種電平。
3.2 二進制頻移鍵控信號(2FSK)
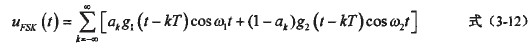
頻移鍵控是用不同頻率的載波來攜帶二進制信息的調制方式,2FSK頻移鍵控信號的輸出波形如圖3-1表示。二進制頻移鍵控是用兩個不同頻率的載波來代表數字信號的兩種電平。由于二進制頻移鍵控已調信號可以看作兩個不同載波的幅度鍵控己調信號之和,故這種信號的帶寬等于基帶信號帶寬的兩倍加(f2-f1)的差值。2FSK信號時域表達式可寫為


返回目錄:
編輯推薦:
通信工程師備考資料免費領取
去領取
專注在線職業教育25年