摘要:通信專業終端與專業多進制數字振幅調制:式中,為字基帶信號的時域波形,斯為載波角頻率;Ts為符號間的時間間隔,an為幅度值,一共可以有M種取值。圖4-1為多進制幅度調制的波形圖。
4.1 多進制數字振幅調制
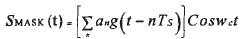
多進制數字振幅調制又稱多電平調制,即是多電平的隨機基帶矩形脈沖序列對余弦載波進行振幅調制。MASK已調信號一般可表示為:

式中,
為字基帶信號的時域波形,斯為載波角頻率;Ts為符號間的時間間隔,an為幅度值,一共可以有M種取值。圖4-1為多進制幅度調制的波形圖。

圖4-1多進制幅度調制調制的波形制的波形圖M電平的MASK信號可以信號可以看作是由振幅互不相等時間上互不相容的M-1個2ASK信號疊加而成。因此MASK調制方法與2ASK類似,不同的只是把基帶信號由二電平變為多電平。除了常規的雙邊帶調制外,MASK也可以對載波進行殘留邊帶或者單邊帶調制,其原理與模擬調制完全相同。與2ASK信號一樣,MASK信號也可以才用相干或非相干解調恢復基帶信號。
返回目錄:終端與業務考培訓多進制數字調制系統
編輯推薦:
通信工程師備考資料免費領取
去領取
專注在線職業教育25年