摘要:2017年執業藥師考試時間調整至11月18日、19日。在沖刺階段整理2015年執業藥師《藥學專業知識一》考試真題及答案供大家參考,具體如下:
2017年執業藥師考試時間調整至11月18日、19日。在沖刺階段整理2015年執業藥師《藥學專業知識一》考試真題及答案供大家參考,具體如下:
注:答案僅供參考,正確性有待考證。
一、 最佳選擇題(共40題,每題1分。每題的備選項中,只有哦1個符合題意)
1、 關于藥品命名的說法,正確的是
A、 藥品不能申請商品名
B、 藥品通用名可以申請專利和行政保護
C、 藥品化學名是國際非專利藥品名稱
D、 制劑一般采用商品名加劑型名
E、 藥典中使用的名稱是通用名
【答案】E
2、不屬于新藥臨床前研究內容的是
A、藥效學研究
B、一般藥理學研究
C、動物藥動學研究
D、毒理學研究
E、人體安全性評價研究
【答案】E
3、屬于非經胃腸道給藥的制劑室
A、維生素C片
B、西地碘含片
C、鹽酸環丙沙星膠囊
D、布洛芬混懸滴劑
E、氯雷他定糖漿
【答案】B
4.苯并咪唑的化學結構和編號:


【答案】D
5、酸類藥物成酯后,其理化性質變化是
A、脂溶性增大,易離子化
B、脂溶性增大,不易通過生物膜
C、脂溶性增大,刺激性增加
D、脂溶性增大,易吸收
E、脂溶性增大,與堿性藥物作用強
【答案】D
{#page#}
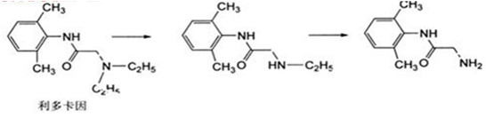
6、多卡因在體內代謝如下,其發生的第1相生化轉化反應是

A.O-脫烷基化
B.N-脫烷基化
C.N-氧化
D.C-環氧化
E.S-氧化
【答案】B
7、不屬于葡萄糖醛酸結合反應的類型是
A、0-葡萄糖醛苷化
B、C-葡萄糖醛苷化
C、N-葡萄糖醛苷化
D、S-葡萄糖醛苷化
E、P-葡萄糖醛苷化
【答案】E
8、有機藥物多數為弱酸或弱堿,在體液中只能部分解離,以解離的形式非解離的形式同時存在于體液中,當PH=pKa時,分子型和離子型藥物所占的比例分別為
A、90%和10%
B、10%和90%
C、50%和50%
D、33.3%和66.7%
E、66.7%和33.3%
【答案C】
9、關于散劑特點的說法,錯誤的是
A、粒徑小、比表面積大
B、易分散、起效快
C、尤其適宜濕敏感藥物
D、包裝、貯存、運輸、攜帶較方便
E、便于嬰幼兒、老人服用
【答案】C
10、不屬于低分子溶液劑的是
A、碘甘油
B、復方薄荷腦醑
C、布洛芬混懸滴劑
D、復方磷酸可待因糖漿
E、對乙酰氨基酚口服溶液
【答案】C
{#page#}
11、關于眼用制劑的說法,錯誤的是
A、滴眼液應與淚液等滲
B、混懸性滴眼液用前需充分混勻
C、增大滴眼液的黏度,有利于提高藥效
D、用于手術后的眼用制劑必須保證無菌,應加入適量抑菌劑
E、為減小刺激性,滴眼液應使用緩沖液調節溶液的PH,使其在生理耐受范圍
【答案】D
12、不要求進行無菌檢查的劑型是
A、注射劑
B、吸入粉霧劑
C、植入劑
D、沖洗劑
E、眼部手術用軟膏劑
【答案】B
13、屬于控釋制劑的是
A、阿奇霉素分散片
B、硫酸沙丁胺醇口崩片
C、硫酸特布他林氣霧劑
D、復方丹參滴丸
E、硝苯地平滲透泵片
【答案】E
14、關于脂質體特點和質量要求的說法,正確的是
A、脂質體的藥物包封率通常應在10%以下
B、藥物制備成脂質體,提高藥物穩定性的同時增加了藥物毒性
C、脂質體為被動靶向制劑,在其載體上結合抗體,糖脂等也可使其具有特異靶向性
D、脂質體形態為封閉多層囊狀物,貯存穩定性好,不易產生滲漏現象
E、脂質體是理想的靶向抗腫瘤藥物載體,但只適用于親脂性藥物
【答案】C
15、關于藥物經皮吸收及其影響因素的說法,錯誤的是
A、藥物在皮膚內蓄積作用有利于皮膚疾病的治療
B、汗液可使角質層水化從而增大角質層滲透性
C、皮膚給藥只能發揮局部治療作用
D、真皮上部存在毛細血管系統,藥物達到真皮即可很快地被吸收
E、藥物經皮膚附屬器的吸收不是經皮吸收的主要途徑
【答案】C
{#page#}
16、藥物的劑型對藥物的吸收有很大的影響,下列劑型中,藥物吸收最慢的是
A、溶液型
B、散劑
C、膠囊劑
D、包衣片
E、混懸液
【答案】D
17、高血漿蛋白結合率藥物的特點是
A、吸收快
B、代謝快
C、排泄快
D、組織內藥物濃度高
E、與高血漿蛋白結合率的藥物合用易出現毒性反應
【答案】 E
18.藥品代謝的主要部位是
A.胃
B.腸
C.脾
D.肝
E.腎
【答案】 D
19.環戊噻嗪 氫氯噻嗪 呋塞米 氯噻嗪的效價強度和效能見下圖,對這四種利尿劑的效價強度和效能說法正確的是

A.效能最強的是呋塞米
B.效價強度最小的是呋塞米
C.效價強度最大的是氯噻嗪
D.氫氯噻嗪效能大于環戊噻嗪,小于氯噻嗪
E.環戊噻嗪、氫氯噻嗪和氯噻嗪的效價強度相同
【答案】 A
20、屬于對因治療的藥物作用方式是
A、胰島素降低糖尿病患者的血糖
B、阿司匹林治療感冒引起的發熱
C、硝苯地平降低高血壓患者的血壓
D、硝酸甘油環節心絞痛的發作
E、青霉素治療腦膜炎奈瑟菌引起的流行性腦脊髓膜炎
【答案】E
{#page#}
21、根據藥物作用機制分析,下列藥物作用屬于非特異性作用機制的是
A、阿托品阻斷M受體而緩解腸胃平滑肌痙攣
B、阿司匹林抑制環氧酶二解熱鎮痛
C、硝苯地平阻斷Ca2+通道而降血壓
D、氫氯噻嗪抑制腎小管Na+-C1轉運體產生利尿作用
E碳酸氫鈉堿化尿液而促進弱酸性藥物的排泄
【答案】E
22、既有第一信使特征,也有第二信使特征的信使分子是
A、鈣離子
B、神經遞質
C、環磷酸腺苷
D、一氧化氮
E、生長因子
【答案】D
23、不同企業生產一種藥物不同制劑,處方和生產工藝可能不同,欲評價不同制劑間機收速度和程度是否相同,應采用評價方法是
A、生物等效性試驗
B、微生物限度檢查法
C、血漿蛋白結合率測定法
D、平均滯留時間比較法
E、制劑穩定性實驗
【答案】A
24、屬于肝藥酶抑制劑藥物是
A、苯巴比妥
B、螺內酯
C、苯妥英鈉
D、西咪替丁
E、卡馬西平
【答案】D
25、由于競爭性占據酸性轉運系統,阻礙青霉素腎小管分泌,進而延長青霉素作用的藥是
A、阿米卡星
B、克拉維酸
C、頭孢哌酮
D、丙磺舒
E、丙戊酸鈉
【答案】D
{#page#}
26、下列聯合用藥產生拮抗作用的是
A、硫胺加噁唑何用甲氧啶
B、華法林合用維生素K
C、克拉霉素合用奧美拉唑
D、普魯卡因合用腎上腺素
E、哌替啶合用氯丙嗪
【答案】B
27、藥物警戒與不良反應檢測共同關注
A、藥品與食物不良相互作用
B、藥物誤用
C、藥物濫用
D、合格藥品的不良反應
E、藥品用于無充分科學依據并未經核準的適應癥
【答案】D
28、藥源性疾病是因藥品不良反應發生程度較嚴重才持續時間過長引起下列關于藥源性疾病的防治,不恰當的是
A、根據病情的藥物適應癥,正確使用
B、根據對象個體差異,建立合理給藥方案
C、監督患者用藥行為,及時調整給藥方案和處理不良反應
D、慎重使用新藥,實體個體化給藥
E、盡量聯合用藥
【答案】E
29、藥物流行病學是臨床藥學與流行病學兩個學科相互申通、延伸發展起來的新的醫學研究領域,主要任務不包括
A、新藥臨床實驗前藥效學研究的設計
B、藥品上市前臨床試驗的設計
C、上市后藥品有效性再評價
D、上市后藥品不良反應或非預期作用的檢測
E、基本藥物的
【答案】E
30、下列不屬于阿片類藥物依賴性治療方法的是
A、美沙酮替代治療
B、可樂啶治療
C、東莨菪堿綜合治療
D、昂丹司瓊抑制覓藥渴求
E.心理干預
【答案】D
{#page#}
31、某藥抗一級速率過程消除,消除速度常數K=0.095h-1,則該藥半衰期為
A、8.0h
B、7.3h
C、5.5h
D、4.0h
E、3.7h
【答案】B
32、靜脈注射某要,Xo=60mg,若初始血藥濃度為15ug/ml,其表現分布溶劑V為
A.20L
B.4ml
C.30L
D.4L
E.15L
【答案】D
33、A、B兩種藥物制劑的藥物劑量,效應關系曲線比較見下圖,對A藥和B藥的安全性分析,正確的是

A.A藥的治療指數和安全范圍大于B藥
B.A藥的治療指數和安全范圍小于B藥
C.A藥的治療指數大于B藥,A藥的安全范圍小于B藥
D.A藥的治療指數大于B藥,A藥的安全范圍等于B藥
E.A藥的治療指數等于B藥,A藥的安全范圍大于B藥
【答案】E
34、對《中國藥典》規定的項目與要求的理解,錯誤的是
A.如果注射劑規格為“1ml:10mg”,是指每支裝藥量為1ml,含有主藥10mg。
B.如果片劑規格為“0.1g”,指的是每片中含有主藥0.1g
C.貯藏條件為“密閉”,是指容器密閉,以防止塵土及異物進入
D.貯藏條件為“遮光”,是指用不透光的容器包裝
E.貯藏條件為“在陰涼處保存”,是指保存唯獨不超過10℃
【答案】E
35、臨床上,治療藥物檢測常用的生物樣品是:
A.全血
B.血漿
C.唾液
D.尿液
E.糞便
【答案】B
{#page#}
36、關于對乙酰氨基酚的說法,錯誤的是
A.對乙酰氨基酚分子中含有酰胺鍵,正常貯存條件下易發生水解變質
B.對乙酰氨基酚在體內代謝可產生乙烯亞胺醌,引起腎毒性和肝毒性
C.大劑量服用對乙酰氨基酚引起中毒時,可用谷光氨肽或乙烯半胱氨酸解讀
D.第氨基酚在體內主要與葡萄糖醛酸或硫酸結合,從腎臟排泄
E.可與阿司匹林成前藥
【答案】A
37、通過抑制黃嘌呤氧化酶減少尿酸生成的抗痛風藥物是
A.秋水仙堿
B.丙磺舒
C.別嘌醇
D.苯溴馬隆
E.布洛芬
【答案】C
38、通過穩定肥大細胞膜而預防各型哮喘發作的是
A.沙丁胺醇
B.扎魯斯特
C.噻托溴銨
D.齊留通
E.色苷酸鈉
【答案】E
39、屬于糖皮質激素的平喘藥
A.茶堿
B.丙酸非替卡松
C.異丙托溴銨
D.孟魯司特
E.沙美特羅
【答案】B
40、是屬于HMG-CoA還原酶抑制劑,有內酯結構,屬于前藥,水解開環后有3,5-二羥基羧酸的是
A.普伐他汀
B.氟伐他汀
C.阿托伐他汀
D.瑞舒伐他汀
E.辛伐他汀
【答案】E
{#page#}
二、配伍選擇題
【41-42】
A、 甾體
B、 吩噻嗪環
C、 二氫呲啶環
D、 鳥嘌呤環
E、 喹啉酮環

【43-45】
A、 藥理學的配伍變化
B、 給藥途徑的變化
C、 適應癥的變化
D、 物理學的配伍變化
E、 化學的配伍變化
43、將氧霉素注射液加5%葡萄糖注射液中,氧霉素從溶液中析出
44、多巴胺注射液加入5%碳酸氫鈉溶液中主見變成粉紅色
45、異煙肼合用香豆素類藥物抗凝血作用增強屬于什么變化。
【答案】DEA
【46-47】
A、 滲透效率
B、 溶解速率
C、 胃排空速度
D、 解離度
E、 酸堿度
生物藥劑學分類系統根據藥物溶解性和腸壁滲透性的不同組合將藥物分為四類
46、阿替洛爾屬于第Ⅲ類,是高水溶性、低滲透性的水溶性分子藥物,其體內吸收取決于
47、卡馬西平屬于第Ⅱ類,是低水溶性、高滲透性的親脂性分子藥物,其體內吸收取決于
【答案】AB
【48-50】
A、 共價鍵
B、 氫鍵
C、 離子-偶極和偶極-偶極相互作用
D、 范德華引力
E、 疏水性相互作用
48、乙酰膽堿與受體的作用,形成的主要檢合類型是
49、萬畫繼環磷酰胺與DNA堿基之間,形成的主要鍵和類型是
50、碳酸與碳酸酐酶的結合,形成的主要鍵和類型是
【答案】CAB
【51-52】
A、 氣霧劑
B、 醑劑
C、 泡騰片
D、 口腔貼片
E、 栓劑
51、主要輔料中含有氫氟烷烴等拋射劑的劑型是
52、主要輔料是碳酸氫鈉和有機酸的劑型是
【答案】AC
【53-54】
A、 丙二醇
B、 醋酸纖維素酞酸酯
C、 醋酸纖維素
D、 蔗糖
E、 乙基纖維素
片劑的薄膜包衣材料通常由子成膜材料組成,并可添加增塑劑、致孔劑(釋放調節劑)、著色劑與遮光劑等
53、常用的致孔劑是
54、常用的增塑劑是
【答案】DA
【55-57】
A、 潛溶劑
B、 增溶劑
C、 絮凝劑
D、 消泡劑
E、 助溶劑
55、制備甾體激素類藥物溶液時,加入的表面活性劑是作為
56、苯甲酸鈉的存在下咖啡因溶解度顯著增加,加入的苯甲酸鈉是作為
57、苯巴比妥在90%的乙醇溶液中溶解度最大,90%的乙醇溶液是作為
【BEA】
【58-60】
A、 載藥量
B、 滲漏率
C、 磷脂氧化指數
D、 釋放度
E、 包封率
58、在脂質體的質量要求中,表示微粒(靶向)制劑中所含藥物量的項目是
59、在脂質體的質量要求中,表示脂質體化學穩定性的項目是
60、在脂質體的質量要求中,表示脂質體物理穩定性的項目是
【答案】ACB
{#page#}
【61-63】
A、 防腐劑
B、 嬌味劑
C、 乳化劑
D、 抗氧劑
E、 助懸劑
61、制備靜脈注射脂肪乳時,加入的豆磷脂是作為
62、制備維生素C注射劑時,加入的亞硫酸氫鈉是作為
63、制備醋酸可的松滴眼液時,加入的亞硫酸氫鈉是作為
【答案】CDD
【64-65】
A、 可逆性
B、 飽和性
C、 特異性
D、 靈敏性
E、 多樣性
64、受體對配體具有高度識別能力,對配體的化學結構與立體結構具有專一性,這一屬性屬于受體的
65、受體的數量和其能結合的配體量是有限的,配體達到一定濃度后,效應不再隨配體濃度的增加而增加,這一屬性屬于受體的
【答案】CB
【66-68】
A、 主動轉運
B、 簡單擴散
C、 易化擴散
D、 膜動轉運
E、 濾過
66、藥物借助載體或酶促系統,消耗機體能量,從膜的低濃度向高濃度一側轉運的藥物轉運方式是
67、在細胞膜載體的幫助下,由膜的高濃度一側向低濃度一側轉運,不消耗能量的藥物轉運方式是
68、藥物擴散速度取決于膜兩側藥物的濃度梯度、藥物的脂水分配系數及藥物在膜內擴散速度的藥物轉運方式是
【答案】ACB
【69-70】
A.皮內注射
B.皮下注射
C.肌內注射
D.靜脈注射
E.靜脈滴注
69.青霉素過敏性試驗的給藥途徑是
【答案】A
70.短效胰島素的常用給藥途徑是
【答案】B
【71-73】
A、 長期使用一種受體的激動藥后,該受體對激動藥的敏感性下降
B、 長期使用一種受體的激動藥后,該受體對激動藥的敏感性增強
C、 長期應用受體拮抗藥后,受體數量或受體對激動藥的敏感性增加
D、 受體對一種類型受體的激動藥反應下降,對其他類型受體激動藥的反應也不敏感
E、 受體只對一種類型受體的激動藥的反應下降,而對其他類型受體激動藥的反應不變
71、受體脫敏表現為
72、受體增敏表現為
73、同源脫敏表現為
【答案】ABD
【74-75】
A、 直腸給藥
B、 舌下給藥
C、 呼吸道給藥
D、 經皮給藥
E、 口服給藥
74、可發揮局部或全身作用,又可部分減少首過效應的給藥途徑是
75、氣體、易揮發的藥物或氣霧劑的適宜給藥途徑是
【答案】AC
{#page#}
【76-77】
A、 藥物因素
B、 精神因素
C、 疾病因素
D、 遺傳因素
E、 時辰因素
影響因素作用的因素包括藥物因素和機體因素,在機體因素中,有生理因素、精神因素、疾病因素、遺傳因素、時辰因素等,直接或間接影響藥物療效和不良反應
76、CYP2C19弱代謝型人服用奧美拉唑不良反應發生率高,產生這種現象的原因屬于
77、腎功能不全患者使用阿米卡星須減量慎用,這種影響藥物作用的因素
【答案】DC
【78-80】
A.降壓作用增強
B.巨幼紅細胞癥
C.抗凝作用下降
D.高壓血癥
E.腎毒性增強
78.氨氯地平和氫氯噻嗪產生的相互作用可能導致
【答案】A
79.甲氨蝶呤合用復方磺胺甲惡唑,產生的相互作用可能導致
【答案】B
80.慶大霉素合用呋塞米,產生的相互作用可能導致
【答案】E
【81-82】
A.精神依賴
B.藥物耐受性
C.交叉依賴性
D.身體依賴
E.藥物強化作用
81.濫用藥物導致獎賞系統反復,非生理性刺激所致的特殊精神狀態
【答案】A
82.濫用阿片類藥物產生藥物戒斷綜合癥的藥理反應
【答案】D
【83-85】
A.過敏反應
B.手劑反應
C.副作用
D.后遺效應
E.特異質反應
83.患者在初次服用哌唑嗪時,由于機體對藥物作用尚未適應而引起不可耐受的強烈反應,該不反應是
【答案】B
84.服用地西泮催眠次晨出現乏力,倦怠等“宿醉”現象,該不良反應是
【答案】D
85.服用阿托品治療胃腸絞痛出現口干等癥狀,該不良反應是
【答案】C

86.單室模型靜脈滴注給藥過程中,血藥濃度與時間的計算公式是
87.單模靜脈滴注給藥過程中,穩達血藥濃度的計算公式是
88.藥物在體內的平均滯留時間的計算公式是
【答案】DBA
{#page#}
【89-90】
A.BP
B.USP
C.ChP
D.EP
E.LF
89.美國藥典的縮寫是
90.歐洲藥典的縮寫是
【答案】BD
【91-93】
A.氟西汀
B.艾司佐匹克隆
C.艾司唑侖
D.齊拉西酮
E.美沙酮
91.口服吸收好,生物利用度高,屬于5-羥色胺攝取抑制劑的抗抑郁藥是
92.因左旋體引起不良反應,而已右旋體上市,具有短小催眠作用的藥物是
93.可用于阿片類成癮替代治療氨基酮類藥物是
【答案】ABE
【94-95】
A.氨曲南
B.克拉維酸
C.哌拉西林
D.亞胺培南
E.他唑巴坦
94.屬于青霉烷砜類抗生素的是
95.屬于碳青霉烯類抗生素的是
【答案】ED
【96-98】
A.完全激動藥
B.競爭性拮抗藥
C.部分激動藥
D.非競爭性拮抗藥
E.負性激動性藥
96.與受體具有很高親和力和內在活性(a=1)的藥物是
97.與受體具有很高親和力,但內在活性不強(a<1)的藥物是
98.與受體具有很高親和力,但缺乏內在活性(a=0),與激動藥合用,與增強激動藥的劑量或濃度是,激動藥的量-效曲線平行右移,但最大效應不變的藥物是
【答案】ACB

99.為D-苯丙氨酸衍生物,被稱為“餐時血糖調節劑”的藥物是
100.含雙胍類結構母核,屬于胰島素增敏劑的口服降糖藥物是
【答案】BE
{#page#}
【101-103】
注射用美洛西林/舒巴坦、規格1.25(美洛西林1.0g,舒巴坦0.25g)。成人靜脈符合單室模型。美洛西林表現分布溶劑V=0.5L/Kg。
101、體重60Kg患者用此藥進行呼吸系統感染治療希望美洛西林/舒巴坦可達到0.5g/L,需給美洛西林/舒巴坦的負荷劑量為
A、1.25g(1瓶)
B、2.5g(2瓶)
C、3.75g(3瓶)
D、5.0g(4瓶)
E、6.25g(5瓶)
【答案】B
102、關于復方制劑美洛西林鈉與舒巴坦的說法,正確的是
A、美洛西林為“自殺性”β-內酰胺酶抑制劑
B、舒巴坦是氨芐西林經改造而來,抗菌作用強
C、舒巴坦可增強美洛西林對β-內酰胺酶穩定性
D、美洛西林具有甲氧肟基,對β-內酰胺酶具高穩定作用
E、舒巴坦屬于碳青霉烯類抗生素
【答案】C
103、注射用美洛西林鈉/舒巴坦的質量要求不包括
A、無異物
B、無菌
C、無熱原、細菌內毒素
D、粉末細度與結晶度適宜
E、等滲或略偏高滲
【答案】D
104-106:對該藥進行人體生物利用度研究,采用靜脈注射與口服給藥方式,給藥劑量均為400mg,靜脈給藥和口服給藥的AUC分別為40ug.h/ml和36ug.h/ml。
104、基于上述信息分析,洛美沙星生物利用度計算正確的是
A、相對生物利用度為55%
B、絕對生物利用度為55%
C、相對生物利用度為90%
D、絕對生物利用度為90%
E、絕對生物利用度為50%
【答案】D
105、根據喹諾酮類抗菌藥構效關系。洛美沙星關鍵藥效基團是
A、1-乙基 3-羧基
B、3-羧基 4-酮基
C、3-羧基 6-氟
D、6-氟 7-甲基哌嗪
E、6、8-二氟代
【答案】D
106、洛美沙星是喹諾酮母核8位引入氟,構效分析,8位引入氟后,使洛美沙星
A、與靶酶DNA聚合酶作用強,抗菌活性減弱
B、藥物光毒性減少
C、口服利用度增加
D、消除半衰期3-4小時,需一日多次給藥
E、水溶性增加,更易制成注射液
【答案】C
{#page#}
【107-108】

107.【題干】本類藥物的兩個羧酸酯結構不同時。可產生手性異構體且手性異構體的活性也有差異,其手性中心的碳原子編號是:
【選項】
A.2
B.3
C.4
D.5
E.6
【答案】C
108.【題干】本類藥物通常以消旋體上市,但有一藥物分別以消旋體和左旋體先后上市,且左旋體活性較優,該藥物是:
【選項】
A.尼群地平
B.硝苯地平
C.非洛地平
D.氨氯地平
E.尼莫地平
【答案】D
109【題干】西咪替丁與硝苯地平合用,可以影響硝苯地平的代謝,使硝苯地平代謝速度:
【選項】
A.代謝速度不變
B.代謝速度減慢
C.代謝速度加快
D.代謝速度先加快后減慢
E.代謝速度先減慢后加快
【答案】B
110.控釋片要求緩慢地患速釋放藥物,并在規定時間內以零級或接近零級速度釋放,下列由五個藥廠提供的硝苯地平釋片的釋放曲線,復合硝苯地平控釋片釋放的是

【答案】D
{#page#}
四、多項選擇題
111.【題干】提高藥物穩定性的方法有
【選項】
A 對水溶液不穩定的藥物,制成固體制劑
B 對防止藥物因受環境中的氧氣、光線等影響,制成微囊或包含物
C 對遇濕不穩定的藥物,制成包衣制劑
D 對不穩定的有效成分,制成前體藥物
E 對生物制品,制成凍干粉制劑
【答案】ABCDE
112.【題干】屬于第Ⅱ相生物轉化的反應有
A 對乙酰氨基酚和葡萄糖醛酸的結合反應
B 沙丁胺醇和硫酸的結合反應
C 白消安和谷胱甘肽的結合反應
D 對氨基水楊酸的乙?;Y合反應
E 腎上腺素的甲基化結合反應
【答案】ABCDE
113.按分數系統分類,屬于非均相制劑的有
A.低分子溶液
B.混懸劑
C.乳劑
D.子溶液
E.溶膠劑
【答案】BCE
114.某藥物首過效應大,適應的制劑有
A.腸溶片
B.舌下片
C.泡騰片
D.經皮制劑
E.注射劑
【答案】BDE
115.多數藥物作用于受體發揮藥效,受體的主要類型有:
AG蛋白偶聯受體
B 配體門控離子通道受體
C 酶活性受體
D 電壓依賴性鈣離子通道
E細胞核激素受體
【答案】ABCE
116.【題干】藥物的物理化學因素和患者的生理因素均影響藥物吸收,屬于影響藥物吸收的物理化學因素有:
A 溶出速
B 脂溶性度
C 胃排空速率
D 在胃腸道中的穩定性
E 解離度
【答案】ABDE
117.【題干】引起藥源性心血管系統損害的藥物是
A 地高辛
B 胺碘酮
C 新斯的明
D 奎尼丁
E 利多卡因
【答案】ABCDE
118.【題干】三種藥物的血藥濃度時間曲線如下圖,對ABC三種藥物的臨床應用和生物利用度分析,正確的是

A 制劑A的吸收速度最慢
B 制劑A的打峰時間最短
C 制劑A可能引起中毒
D 制劑C可能無治療作用
E 制劑B 為較理想的藥品
【答案】BCDE
119.【題干】以下為左氧氟沙星的部分報告書


以下合格的項目有
A 紫外光譜
B 雜質A
C 其他單雜
D 其他總雜
E 含量測定
【答案】ABC
120.【題干】屬于非核苷的抗病毒藥

【答案】ABD
執業藥師備考資料免費領取
去領取
專注在線職業教育25年