摘要:通信工程師交換技術考試二項分布:研究負載源數況不大于服務設備數量講即的情況。根據前面對大和叫計算方法的討論
1.二項分布
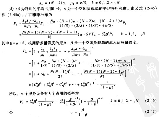
研究負載源數況不大于服務設備數量講即的情況。根據前面對大和叫計算方法的討論,令



以上我們分析了服務設備的四種占用概率分布,每一種分布都有相應的前提條件,選擇使用某一種分布時,必須注意分析負載源數量與服務設備數量之間的關系以及呼叫發生強度和呼叫結束強度的計算方法。
返回目錄
編輯推薦
通信工程師備考資料免費領取
去領取
專注在線職業教育25年